阿摩線上測驗
登入
首頁
>
電子學
> 100年 - 100 公務升官等考試_薦任_電力工程、電子工程、電信工程:電子學#45293
100年 - 100 公務升官等考試_薦任_電力工程、電子工程、電信工程:電子學#45293
科目:
電子學 |
年份:
100年 |
選擇題數:
0 |
申論題數:
15
試卷資訊
所屬科目:
電子學
選擇題 (0)
申論題 (15)
【已刪除】 ⑴若C
2
=0 試計算此電路之電壓增益
,請注意正負符號。(5 分)
⑵第⑴小題若以 dB 值表示為何?(5 分)
⑶今欲設計此電路之頻率響應之 3dB頻率為 1 kHz,試決定C2的值(須註明單位)。 (5 分)
【已刪除】 ⑷試以此電路之 Transfer function 研判此電路為高通(High-Pass)電路或是低通 (Low-Pass)電路,簡要說明你的理由。已知高通電路 Transfer function 的一般 Ks K 型式為
;低通電路 Transfer function 的一般型式為
(5 分)
⑴請註明每個轉折點對應的 dB 值與頻率。(9 分) 103 104 105
⑵請註明每段線段之斜率,以每十倍頻 dB 變化值 -10 (dB/dec)表示。(6 分)
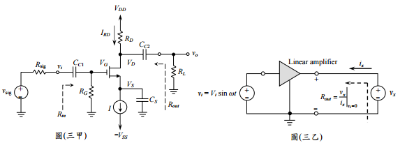
⑴試分析下圖MOS電路中各個節點的直流偏壓電壓VG、VS。註:在直流偏壓分析過 程中可不考慮VA效應。(10 分)
⑵試計算電晶體中小信號等效電路的gm、rO等參數。(5 分)
⑶試利用 MOSFET 小信號的 T model 等效電路模型畫出此放大電路包括信號源與負 載在內的小信號等效電路。(5 分)
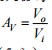
【已刪除】 ⑷試依第⑶小題所獲之電路計算此電路之電流增益
、輸出阻抗
註:R
out
的評估方式是在負載R
L
移除後,並設定輸入電壓信號vi=0 的條件下,由 圖(三乙)的裝置在輸出端灌入信號v
x
來進行度量。(10 分)
⑴試研判此放大器為那一類型之組態,請說明你的理 由。(5 分)
⑵試計算電晶體中小信號等效電路的rπ參數。(5 分)
【已刪除】 ⑶試計算此放大器之輸入電阻
。(5 分)
⑴試繪製如圖(五丙)之輸出電壓vO與輸入電壓vI之間的關係曲線,請註明各轉折點的 電壓以及各線段之斜率。(15 分)
⑵若輸入vI為三角波,振幅 10V,如圖(五丁)所示,試繪製輸出電壓 vO 的波形, 並 標示各轉折點的電壓。(5 分)