阿摩線上測驗
登入
首頁
>
電子學
>
100年 - 100 公務升官等考試_薦任_電力工程、電子工程、電信工程:電子學#45293
> 申論題
申論題
試卷:100年 - 100 公務升官等考試_薦任_電力工程、電子工程、電信工程:電子學#45293
科目:電子學
年份:100年
排序:0
申論題資訊
試卷:
100年 - 100 公務升官等考試_薦任_電力工程、電子工程、電信工程:電子學#45293
科目:
電子學
年份:
100年
排序:
0
題組內容
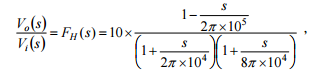
二、已知有一放大器之高頻響應函數(transfer function)為
試畫出此電路頻率響應之波德圖( Bode plot), f(Hz) 如圖(二)所示。
申論題內容
⑵請註明每段線段之斜率,以每十倍頻 dB 變化值 -10 (dB/dec)表示。(6 分)