阿摩線上測驗
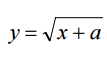
登入
首頁
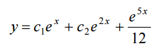
>
工程數學(應用數學, 線性代數、微分方程、複變函數與機率)
> 100年 - 100 身心障礙特種考試_三等_電力工程、電子工程:工程數學#36019
100年 - 100 身心障礙特種考試_三等_電力工程、電子工程:工程數學#36019
科目:
工程數學(應用數學, 線性代數、微分方程、複變函數與機率) |
年份:
100年 |
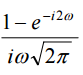
選擇題數:
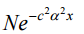
20 |
申論題數:
6
試卷資訊
所屬科目:
工程數學(應用數學, 線性代數、微分方程、複變函數與機率)
選擇題 (20)
1 設
a
為常數,則下列何者為曲線
的正交曲線? (A)y=cx
2
(B)y=x+c (C) y= ce
2x
(D) cey
−2x
2 解微分方程式 1+x
2
y
2
+y+xy'=0。 (A) tan
−1
=x+y=c (B) tan
−1
=x+xy=c (C) tan
−1
xy+x=c (D) sin
-1
xy+x=c
3
的原始微分方程式為: (A)y"-3y'+2y=e
5x
(B) y′′ −3y+2y=
(C) y"-3y'+2y=2e
5x
(D)y ′′ − 3y′ + 2y = 0
4 為圓柱體 ,x2+y2 ≤4,|z|≤1 之表面,利用散度定理(divergence theorem)判斷下列向量函數
中,何 者之面積分
值不為 0? (A)
(B)
(C)
(D)
5力
由點P(1,0,0) 出發,沿著螺旋線( helix)
施力至點 Q (1,0,6π )為 止,總共做功(work)多少? (A) 0 (B) 6π − 3 (C)18π + 2 (D)7π
6 下列關於正交矩陣(orthogonal matrices)
A
的特性,何者是錯誤的? (A)A
T=
−1 (B)
A
的行列式值(determinant)為: |A| ±= 1 (C)
A
的特徵值(eigenvalues)全為實數(real numbers) (D)
A
的行向量(column vectors)都互為正交(orthogonal)
7 令 A ∈ R
3✕3
為對稱矩陣,若 λ1, λ2 , λ3 與 V
1
,V
2
.V
3
分別為 A 之相異特徵值與相應之單位特徵向量,並 令矩陣P=[V1V2V3] ,則下列敘述何者錯誤? (A) V
1
,V
2
,V
3
互為正交 (B)λ
1
, λ
2
, λ
3
必為實數 (C) P
−1
= P
T
(D)行列式 |P| =1
8 令矩陣A=
,則 A 的秩(rank)等於多少? (A) 1 (B) 2 (C) 3 (D) 4
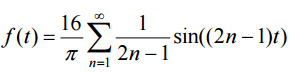
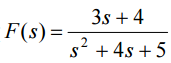
9 試求函數
的逆拉式轉換(inverse Laplace transform)?(A)
(B)
(C)
(D)
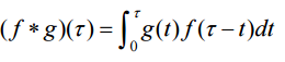
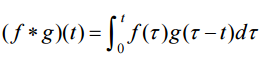
10 (f*g)(t)為函數 f 與 g 的迴旋積(convolution),則下列何者為錯? (A)
(B)
(C)
(D)
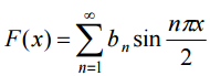
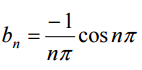
11 已知函數 , F(x)=x,0 < x < 20 ,以半幅展開 為傅立葉正弦級數
,則b
n
= ? (A)
(B)
(C)
(D)
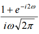
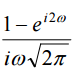
12 定義傅立葉轉換為
,求出函數
的傅立葉轉換。(A)
(B)
(C)
(D)
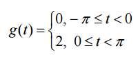
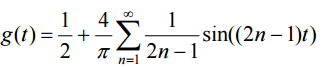
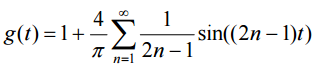
13 f (t) 是週期為 2π 的函數,在 -π≤t< π 之間定義為 。
已知 的傅立葉級數 (Fourier series)為
。定義週期為 2π 的函數g(t)在-π≤t<π 之間為:
。下列何者為g(t) 的傅立葉級數(Fourier series)? (A)
(B)
(C)
(D)
14 利用 Frobenius 級數
的方法解微分方程式 x
2
y"+x
2
y'-2y=0,下列何者是這個問題的 indicial 方程式? (A) r
2
− r = 0 (B) r
2
− r− 2=0 (C) r
2
+r− 2 =0 (D) r
2
+r =0
15 求
=? (A)
(B)
(C)tan
-1
(In z)(D)
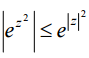
16 設z 為複數,下列敘述何者正確? (A)
(B)
,其中
表示z 的共軛複數( z complex conjugate) (C)對於複數平面上任何兩點 z
1
與 z
2
,公式
皆成立,其中Arg(z) 表示複數z 的 主幅角(principal argument) (D)函數
在 z = 0時為可析函數(analytic function)
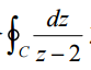
17 設 C 為 |z−2 | = 5之封閉曲線,求逆時針方向積分
之值? (A) 1 (B) 2πi (C) 0 (D)π
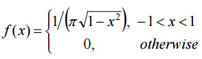
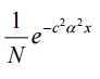
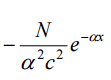
18 給定一個連續隨機變數 X,它的機率密度函數為
。則 X 的期望值(mean) 為何? (A) 1/2 (B)1/ π (C) 1/2 π (D) 0
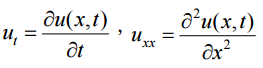
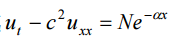
19 非均質(nonhomogeneous)一維熱傳方程式
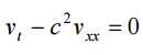
,利用轉換
可將該方程 式均質化:
,則以下選項何者可為輔助函數 w(x)?其中
,vt 及v
xx
定義同ut 及u
xx
。(A)
(B)
(C)
(D)
20 假設 x 是指數分配(exponential distribution),其機率密度函數為
,若 E(x)u, P(x>u)=q ,則 q 的範圍為何? (A) 1/2<q < (B) 1/3 <q< 1/2 (C) 1/4< q < 1/3 (D)1/5< q <1/4
申論題 (6)
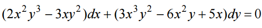
【已刪除】一、求微分方程式
的解。(提示:令u = xy ) (15 分)
【已刪除】⑴求解
之行列式值。(4 分)
【已刪除】⑵矩陣 A∈ R
n×n
,B∈R
n× n
,求解
之行列式值。(6 分)
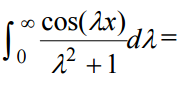
【已刪除】⑴求
為大於 0 之實數。(5 分)
【已刪除】⑵利用傅立葉積分定理求
?( x ≥ 0)(10 分)
四、假設球體的半徑是一個連續隨機變數,半徑 r 之機率密度函數 f( r) = 6r(1 − r),0< r <1 。試求球體體積 V 的機率密度函數 f (V)。(10 分)
相關試卷
114年 - 114 專技高考_電機工程技師:工程數學(包括線性代數、微分方程、複變函數與機率)#133679
114年 · #133679
114年 - 114 專技高考_電子工程技師:工程數學(包括線性代數、微分方程、向量分析、複變函數與機率)#133677
114年 · #133677
114年 - 114 調查特種考試_三等_電子科學組:工程數學#129578
114年 · #129578
114年 - 114 國家安全情報特種考試_三等_電子組(選試英文):工程數學#127780
114年 · #127780
113年 - 113 專技高考_電子工程技師:工程數學(包括線性代數、微分方程、向量分析、複變函數與機率)#123976
113年 · #123976
113年 - 113 專技高考_電機工程技師:工程數學(包括線性代數、微分方程、複變函數與機率)#123971
113年 · #123971
113年 - 113 調查特種考試_三等_電子科學組:工程數學#122110
113年 · #122110
113年 - 113 身心障礙特種考試_三等_電力工程:工程數學#119517
113年 · #119517
112年 - 112 地方政府特種考試_三等_電力工程、電子工程:工程數學#118376
112年 · #118376
112年 - 112 專技高考_電機工程技師:工程數學(包括線性代數、微分方程、複變函數與機率)#117639
112年 · #117639