阿摩線上測驗
登入
首頁
>
國營事業◆自動控制
> 100年 - 100 鐵路特種考試_高員三級_機械工程:自動控制#45810
100年 - 100 鐵路特種考試_高員三級_機械工程:自動控制#45810
科目:
國營事業◆自動控制 |
年份:
100年 |
選擇題數:
0 |
申論題數:
4
試卷資訊
所屬科目:
國營事業◆自動控制
選擇題 (0)
申論題 (4)
【已刪除】一、考慮一個控制系統的輸出對輸入轉移函數為
,請估計並畫出此系統對單位步階輸入函數的輸出時間響應,標明安定時間、峰值時間及最大超越量。 (25 分)
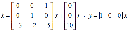
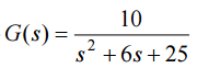
二、考慮如下的系統狀態空間方程式,其中 x 為狀態,r 為輸入,y 為輸出。請計算出此 系統的輸出對輸入轉移函數。(25 分)
三、考慮一個控制系統的特性方程式如下所示,請利用羅斯法則求出該系統在 s 的右半 平面、左半平面及虛軸上各有幾個特性根?(25 分)
s
6
+ 2s
5
+ s
4
− 16s
2
− 32s − 16 = 0
四、假設一個單位負迴授系統,其順向路徑轉移函數如下所示。請分別詳述如何利用根 軌跡作圖法設計⑴ PD 補償器⑵ PI 補償器,以改善原系統的性能。說明 PD 和 PI 補 償器優點各為何?(25 分)
相關試卷
113年 - 113 臺灣菸酒股份有限公司_從業職員及從業評價職位人員甄試試題_從業評價職位人員_電子電機:自動控制#133996
113年 · #133996
113年 - 113 臺灣菸酒股份有限公司_從業職員及從業評價職位人員甄試試題_電子電機:自動控制#133977
113年 · #133977
113年 - 113 國營臺灣鐵路股份有限公司_從業人員甄試_第 9 階-技術員-電機:自動控制概要#119067
113年 · #119067
112年 - 112 臺灣菸酒股份有限公司_從業職員及從業評價職位人員甄試_從業職員/機械(中區):自動控制#137443
112年 · #137443
112年 - 112 臺灣菸酒股份有限公司_從業職員及從業評價職位人員甄試試題_電子電機:自動控制#137404
112年 · #137404
112年 - 112 臺灣菸酒股份有限公司_從業職員及從業評價職位人員甄試_從業職員/電子電機:自動控制#118449
112年 · #118449
110年 - 110 臺灣菸酒股份有限公司_從業職員及從業評價職位人員甄試試題_從業職員/機械 :自動控制#111385
110年 · #111385
109年 - 109 桃園國際機場股份有限公司_新進從業人員招募甄選_工程-機械-技術員:自動控制#90579
109年 · #90579
109年 - 109 臺灣菸酒股份有限公司_從業職員及從業評價職位人員甄試_從業職員-電子電機、電機工程學程:自動控制#89252
109年 · #89252
109年 - 109 臺灣菸酒股份有限公司_從業職員及從業評價職位人員甄試_從業職員-機械::自動控制#89103
109年 · #89103