阿摩線上測驗
登入
首頁
>
專技 - 藥理學與藥物化學
> 100年 - 100-1 專技高考_藥師:藥理學與藥物化學#10028
100年 - 100-1 專技高考_藥師:藥理學與藥物化學#10028
科目:
專技 - 藥理學與藥物化學 |
年份:
100年 |
選擇題數:
80 |
申論題數:
0
試卷資訊
所屬科目:
專技 - 藥理學與藥物化學
選擇題 (80)
1 下列何者並非 ionotropic receptor? (A)GABA B receptor (B)NMDA receptor (C)Glycine receptor (D)AMPA receptor B
2 許多藥物發生 desensitization 的機轉為其受體被: (A)磷酸化 (B)去磷酸化 (C)甲基化 (D)乙醯化
3 當一藥物以 10 mg/min 的速度灌注時,到達穩定狀態下的血中濃度為 2 mg/L,則此藥的清除率(clearance)為: (A) 0.2 L/min (B) 0.5 L/min (C) 2 L/min (D) 5 L/min
4 下列 β-lactam 類抗生素中,何者對酸不穩定? (A) Penicillin V (B) Dicloxacillin (C) Amoxicillin (D) Penicillin G
5 下列有關 Rimantadine 的敘述,何者錯誤? (A)可提升 virus 之 endosomal pH 值 (B)用於治療帕金森氏症 (C)其 half-life 比 Amantadine 長 (D)對於 renal failure 的病患不用調整劑量
6 下列之敘述何者錯誤? (A) Tazobactam 不能抑制染色體媒介產生的 β-lactamase (B)臨床上使用 meropenem 常併用 cilastatin,以減低被 renal dehydropeptidase 的分解 (C)對 penicillins 過敏之患者也可能對 carbapenems 過敏 (D) Carbapenem 類是腸細菌科(Enterobacteriaceae)感染治療的首選藥物
7 下列因劑量關係所產生的毒性中,何者與使用 vincristine 的關係最密切? (A)發燒與顫抖 (B)膀胱炎 (C)神經毒性 (D)心臟毒性
8 下列何種抗體是一種多株人類免疫球蛋白(polyclonal human immunoglobulin)? (A) Trastuzumab (B) Rituximab (C) Immunoglobulin (D) Antithymocyte globulin
9 下列何種細菌感染之疾病,不宜使用 Erythromycin 治療? (A)黴漿菌屬肺炎(Mycoplasma pneumonia) (B) Methicillin-resistant Staphylococcus aureus (C)對於 penicillin 過敏之患者,被用於細菌性心內膜炎的預防 (D)鏈球菌咽炎(Streptococcal pharyngitis)
10 下列何藥用於治療血小板減少症? (A)Erythropoietin (B)Filgrastim (C)Oprelvekin (D)Vitamin B 12
11 Warfarin 使用後,下列何種凝血因子之血中濃度降低最快? (A)凝血因子 II (B)凝血因子 VII (C)凝血因子 IX (D)凝血因子 X
12 下列何藥之主要作用機轉為抑制 plasminogen 形成 plasmin? (A) Aminocaproic acid (B) Aprotinin (C) Phytonadione (D) Urokinase
13 Desmopressin 之用途為何? (A)可改善庫辛(Cushing)症候群 (B)抗男性攝護腺癌 (C)抗高血壓 (D)抗尿崩症
14 在避孕藥的成分中何者最常使低血鉀症(hypokalemia)患者產生短暫性麻痺的危險? (A) Ethinyl estradiol (B) Gossypol (C) Levonorgestrel (D) Diethylstilbestrol
15 下列何者是短效型胰島素? (A) Lente Humulin (B) NPH Humulin (C) Regular Humulin (D) Ultralente Humulin U
16 Glargine 之用途為何? (A)抗高血壓 (B)抗青光眼 (C)抗糖尿病 (D)抗心律不整
17 若病人因外流鉀電流減少而導致 Torsades de pointes 之心律不整,則下列那一種治療最不適當? (A)補充鎂離子 (B)補充鉀離子 (C)給予 Isoproterenol (D)給予 Quinidine
18 那一種利尿劑以噴霧劑型由鼻腔投與會抑制呼吸道鈉之吸收,而使黏液水分分泌增加,用於 cystic fibrosis 病人以改善症狀? (A) Furosemide (B) Acetazolamide (C) Amiloride (D) Chlorothiazide
19 那一種藥物最有可能會加重穩定型心絞痛病人(Stable angina 又稱 Exertional angina)的症狀? (A) Verapamil (B) Nifedipine (C) Diltiazem (D) Atenolol
20 合併使用兩種降壓藥物以治療高血壓時,下列那一種組合最不合理? (A) β-Adrenoceptor blocker + Thiazide (B) ACEI + Diuretic (C) Amiloride + Hydrochlorothiazide (D) Prazosin + Hydralazine
21 那一種利尿劑較會增加靜脈血管之容積(Venous capacitance),而減輕肺水腫之症狀? (A) Amiloride (B) Bumetanide (C) Acetazolamide (D) Indapamide
22 下列那一種降壓藥物口服後最易被乙醯化(acetylation),而減少其藥效與生體可用率? (A) Reserpine (B) Clonidine (C) Hydralazine (D) Prazosin
23 下列何種藥物不用於排尿困難或尿液滯留的病人? (A) Tamsulosin (B) Bethanechol (C) Isoproterenol (D) Carbachol
24 下列何種骨骼肌鬆弛劑會引起肌肉酸痛(muscle pain)之副作用? (A) Succinylcholine (B) Tubocurarine (C) Diazepam (D) Baclofen
25 下列何種藥物不屬於選擇性的β 2 -adrenergic agonist? (A) Butoxamine (B) Albuterol (C) Terbutaline (D) Metaproterenol
26 下列何種藥物為β 1 -selective antagonist,且具有部分作用劑活性(partial agonist activity)? (A) Atenolol (B) Acebutolol (C) Propranolol (D) Timolol
27 下列何藥用於治療便秘及肝臟疾病引起之腦病變? (A) Castor oil (B) Lactulose (C) Mineral oil (D) Sorbitol
28 下列何者是鎮咳劑? (A) Ambroxol (B) Dextromethorphan (C) Guaifenesin (D) Potassium iodide
29 下列藥物中,何者具有較強的血清胺(serotonin)作用? (A) Sumatriptan (B) Chlorpheniramine (C) Cyproheptadine (D) Loratadine
30 Thioperamide 可以較具選擇性的拮抗下列何種受體的作用? (A) 5-HT 2 (B)H 2 (C) 5-HT 3 (D)H 3
31 下列關於 ergot alkaloids 的敘述,何者正確? (A)是一種血管擴張劑 (B)用於孕婦維持子宮的張力 (C)其藥效類似 nitroprusside (D)臨床上用於治療急性偏頭痛
32 下列何者不是使用多巴胺受體作用劑來治療帕金森氏症時,常見的副作用? (A)不隨意運動過多症(Dyskinesia) (B)下痢(Diarrhea) (C)直立性低血壓(Postural hypotension) (D)厭食現象(Anorexia)
33 長期使用下列何種治療帕金森氏症的藥物,容易發生 on-off phenomenon? (A) Bromocriptine (B) Amantadine (C) Levodopa (D) Pergolide
34 下列有關抗癲癇藥物 ethosuximide 的敘述,何者錯誤? (A)具有抑制 T-型鈣離子管道活性的作用 (B)可以用來治療失神性小發作 (C)與 valproic acid 合併使用時,ethosuximide 的代謝速率會被減緩 (D)與血漿蛋白具有高度的結合性
35 下列有關全身性麻醉劑 halothane 的敘述,何者錯誤? (A) Halothane 的肺泡最低濃度(minimum alveolar concentration)較 ether 小 (B) Halothane 具有很好的止痛效果 (C) Halothane 的麻醉誘導速率較 isoflurane 慢 (D) Halothane 具肝毒性,但小兒科病人較不易產生肝毒性
36 下列何種抗癲癇藥物可阻斷 NMDA 受體? (A) Ethosuximide (B) Vigabatrin (C) Lamotrigine (D) Felbamate
37 下列有關影響全身性麻醉劑誘導快慢因子之敘述,何者錯誤? (A)提高氣體混合中吸入性麻醉劑比例時,誘導速率會加速 (B)增加心輸出量時,誘導速率會降低 (C)肺泡換氣速率增加時,誘導速率會加速 (D)麻醉劑溶解度高時,誘導速率快
38 下列各種治療類精神疾病藥物所產生之副作用及其作用可能機制的配對中,何者錯誤? (A)體重增加:組織胺及血清素受體阻斷作用 (B)錐體外毒性症狀:多巴胺受體阻斷作用 (C)直立型低血壓:乙型腎上腺素性受體阻斷作用 (D)口乾及尿液滯留:毒蕈素性受體阻斷作用
39 下列那一種藥物主要用做鈾中毒之解毒劑? (A) Penicillamine (B) Unithiol (C) Succimer (D) Calcium disodium diethylenetriaminepentaacetic acid
40 以 Adeno-associated virus 作為傳送基因之媒介時,下列有關其特性之敘述何者錯誤? (A) Adeno-associated virus 為單股 DNA 病毒 (B)此病毒不具 envelope (C) Recombinant adeno-associated virus 僅對特定組織(如肺臟)有基因轉殖能力,但對骨骼肌、肝臟 則無基因轉殖能力 (D)此病毒能攜帶之基因較短(小於 5.2 kilobase)
41 吸入性鹵烷麻醉劑,其與烷的理化性質相較,則下列敘述何者錯誤? (A)均易溶於脂質 (B)低碳數的鹵烷與烷沸點均低 (C)同碳數的鹵烷較烷不易燃燒 (D)同碳數的單鹵素取代的鹵烷與烷有相同的偶極矩(dipole moment)
42 下列何種化合物的酸性最強? (A)CH 3 COOH (B)ClCH 2 COOH (C)Cl 2 CHCOOH (D)Cl 3 CCOOH
43 Clorazepate 係經過何種代謝反應,而生成 nordiazepam? (A) Decarboxylation (B) N-Demethylation (C) Hydroxylation (D) Hydrolysis
44 Tamoxifen 的代謝方式,不包括下列那一項? (A) N-Demethylation (B) Reduction (C) 4'-Hydroxylation (D) Glucuronidation
45 下列何者屬於長效型的青光眼治療劑? (A) Physostigmine (B) Pilocarpine (C) Isoflurophate (D) Acetyl-β-methylcholine
46 下列何者最易產生拮抗磺胺藥的抗菌作用? (A) Articaine (B) Dibucaine (C) Lidocaine (D) Benzocaine
47 Clonidine 可經由下列何種作用降低血壓? (A)興奮周邊α1 -受體 (B)拮抗中樞α 2 -受體 (C)興奮中樞α 2 -受體 (D)興奮周邊β 2 -受體
48 下列交感神經藥物結構具有酚基(phenolic)者為: (A) Amphetamine (B) Ephedrine (C) Phenylephrine (D) Phenylpropanolamine
49 若在人體尿液中測出 phenylacetone,可判定此人曾用何種藥物? (A) Chloramphenicol (B) Amphetamine (C) Ephedrine (D) Phenylpropanolamine
50 下列 anticonvulsants,何者屬於磺胺(sulfonamide)衍生物? (A) Lamotrigine (B) Tiagabine (C) Zonisamide (D) Felbamate
51 Amantadine 在生理 pH 值下以帶電形式(protonated form)存在,它之所以能進入腦而達到治療帕金森氏症的目的,主要是利用其結構的何性質所致? (A)易被代謝 (B)高親脂性 (C)高親水性 (D)高親電性
52 Benzodiazepine 類安眠鎮靜劑,在其第七位置皆有取代基,其中不包括以下何者? (A)NO 2 (B)Cl (C)OH (D)Br
53 Phenothiazine 類藥物其支鏈的氮原子與芳香環的氮原子間,以幾個碳數連結時抗精神病的活性最佳? (A) 1 (B) 2 (C) 3 (D) 4
54 下列何者是可待因(codeine)的結構? (A)
(B)
(C)
(D)
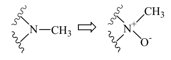
55 將嗎啡的三級胺氧化成N +→O -如下圖,則其止痛活性會如何變化?
(A)上升 (B)下降 (C)不變 (D)消失
56 下列鴉片類止痛劑(opioid analgesics),何者具有 anilidopiperidines 的骨架? (A) Fentanyl (B) Buprenorphine (C) Butorphanol (D) Meperidine
57 紅麴菌(Monascus ruber)中可分離純化出降血脂之主成分為: (A) Cholestyramine (B) Fenofibrate (C) Niacin (D) Lovastatin
58 降血脂藥 ezetimibe(pKa 9.7)於生理 pH 值中,有多少百分比為離子態(ionized)? (A)<1% (B)約 50% (C)約 75% (D)>99%
59 ACE 抑制劑於身體中主要會與下列何種金屬離子結合而產生藥效? (A)Cu 2+ (B)Fe 2+ (C)Mg 2+ (D)Zn 2+
60 下列何者之分子結構具有 quinazoline 骨架? (A)
(B)
(C)
(D)
61 Quinethazone 與 metolazone 有共同的結構特徵,其結構中所含之雜環為何? (A) Benzothiadiazine (B) Quinazolinone (C) Phthalimide (D) Thiadiazole
62 下列何者為 minoxidil 之活性代謝物? (A) Minoxidil N-O-acetate (B) Minoxidil N-O-sulfate (C) Minoxidil N-O-benzoate (D) Minoxidil N-O-glucuronate
63 下列何種藥物具有 pyridine 環? (A) Tolazamide (B) Glipizide (C) Pioglitazone (D) Muraglitazar
64 下列抗炎鎮痛劑何者含有 pyridine 構造? (A) Naproxen (B) Piroxicam (C) Sulindac (D) Mefenamic acid
65 下列何種酵素與由 progesterone 轉變為 aldosterone 之生合成過程無關? (A) 11β-hydroxylase (B) 17α-hydroxylase (C) 18-hydroxylase (D) 21-hydroxylase
66 所謂“glitazone”降血糖藥之結構,均含有下列何種基團? (A) Chlorothiazide (B) Phenothiazine (C) Sulfonylurea (D) Thiazolidinedione
67 將 medroxyprogesterone acetate 之何處引入雙鍵,會成為活性更好的 megestrol acetate? (A) C6-C7 (B) C7-C8 (C) C8-C9 (D) C9-C10
68 Leukotriene A4(LTA4)受glutathion-S-transferase作用後,不會產生下列何種產物? (A)LTB 4 (B)LTC 4 (C)LTD 4 (D)LTE 4
69 下列各選項中若將左方藥物修飾為右方藥物時,則何項可增加口服的安定性? (A) Testosterone→Testosterone cyclopentylpropionate (B) Triamcinolone→Triamcinolone acetonide (C) Methylprednisolone→Methylprednisolone sodium succinate (D) Testosterone→17α-Methyltestosterone
70 PGE 1作為cyclodextrin複合物的目的何在? (A)增加水溶性及代謝安定性 (B)增加脂溶性 (C)降低副作用 (D)增加與受體之親和力
71 下列何者最易抑制 CYP-450 混合功能氧化酵素系統,可能使 phenytoin 或 quinidine 之藥理作用或毒性增強? (A) Cimetidine (B) Famotidine (C) Nizatidine (D) Ranitidine
72 Oseltamivir 結構主要是模擬下列何者之過渡態類似物(transition state analog)而得? (A) N-Acetyl muramic acid(NAM) (B) Mycolic acid (C) Sialic acid (D) HMG CoA
73 由PGG2可經下列何種反應,得到PGH2? (A)還原 (B)氧化 (C)水解 (D)脫水
74 Oxacillin、cloxacillin、dicloxacillin 構造上除了青黴素的基本構造外,還有下列那一雜環? (A) Imidazole (B) Pyrazole (C) Oxazole (D) Isoxazole
75 下列抗病毒藥中,何者不必經活化,即可直接抑制病毒酵素? (A) Cidofovir (B) Foscarnet (C) Ganciclovir (D) Didanosine
76 下列何種抗病毒藥不會造成 DNA chain termination? (A) Zidovudine (B) Didanosine (C) Nevirapine (D) Lamivudine
77 治療後天免疫缺乏症(AIDS)的 didanosine(DDI),其結構為下列何者之類似物(analog)? (A) Adenosine (B) Cytidine (C) Inosine (D) Guanosine
78 施以光增敏劑 porfimer sodium 後,使用下列何種光源照射來活化,而產生抗癌作用? (A) UV-A (B) Laser light (C) Microwave (D) Near IR
79 Cisplatin 作用時是與 DNA 上 guanine 鹼基的那個位置進行結合? (A) N-1 (B) N-3 (C) N-7 (D) N-9
80 MOPP 為有效治療何杰金氏病(Hodgkin’s disease)的合併療法,但其組成不包括: (A) Methotrexate (B) Vincristine (C) Procarbazine (D) Prednisone
申論題 (0)
相關試卷
115年 - 115-1 專技高考_藥師(一):藥學(一)(包括藥理學與藥物化學)(重複)#137365
115年 · #137365
115年 - 115-1 專技高考_藥師(一):藥學(一)(包括藥理學與藥物化學)#137355
115年 · #137355
114年 - 114-2 專技高考_藥師(一):藥學(一)(包括藥理學與藥物化學)#128965
114年 · #128965
114年 - 114-1 專技高考_藥師(一):藥學(一)(包括藥理學與藥物化學)#125128
114年 · #125128
113年 - 113-2 專技高考_藥師(一):藥理學與藥物化學#121685
113年 · #121685
113年 - 113-1 專技高考_藥師(一):藥理學與藥物化學#118723
113年 · #118723
112年 - 112-2 專技高考_藥師(一):藥理學與藥物化學#115922
112年 · #115922
112年 - 112-1 專技高考_藥師(一):藥理學與藥物化學#113159
112年 · #113159
111年 - 111-2 專技高考_藥師(一):藥理學與藥物化學#109905
111年 · #109905
111年 - 111-1 專技高考_藥師(一):藥理學與藥物化學#106190
111年 · #106190