阿摩線上測驗
登入
首頁
>
工程數學(應用數學, 線性代數、微分方程、複變函數與機率)
> 102年 - 102 鐵路特種考試_高員三級_電力工程、電子工程:工程數學#34212
102年 - 102 鐵路特種考試_高員三級_電力工程、電子工程:工程數學#34212
科目:
工程數學(應用數學, 線性代數、微分方程、複變函數與機率) |
年份:
102年 |
選擇題數:
20 |
申論題數:
6
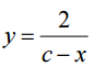
試卷資訊
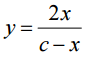
所屬科目:
工程數學(應用數學, 線性代數、微分方程、複變函數與機率)
選擇題 (20)
1 一系統由 4 項獨立(independent)運作之組件構成,其組件正常運作之機率分別為 0.9,0.7,0.5 及 0.3, 令隨機變數 X 為該系統中正常運作組件之數量,試求期望值 E(X ) = ? (A)0.6 (B)1.2 (C) 2.4 (D) 3.6
2 設一隨機變數 X,其期望值(mean value)μ
x
= 8 ,變異數(variance)
;試問機率 P(−4 < X < 20) 之值可能為何? (A)0.3(B) 0.5(C) 0.75 (D)0.95
3
, │z │<1,則 a
1
=? (A)-1(B) 0(C) 1 (D)2
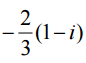
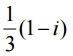
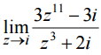
4 請計算
之值,其中i =√ −1 : (A)-4 (B) 11 (C)-6 (D) 0
5 設Γ(t) = t + it, 0 ≤ t ≤1, i = √ −1 ,則
之值為何? (A)
(B) (1 )
(C)
(D)
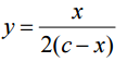
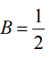
6 已知複變數函數
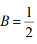
的奇異點(singular point)是為一個極點(pole),試決定此極點的階數 (order)M 及對應的留數(residue)B 分別為何? (A) M =1,
(B) M =1, 2
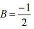
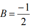
(C) M = 2 ,
= (D) M = 2 ,
7 設 A 及 B 為任二 n× n 矩陣,則下列敘述何者錯誤?(答案選項中 det X 表矩陣 X 的行列式值) (A)det kA = k det A (其中 k 為一常數) (B)det(AB) = det(BA) = det A det B (C)det A
T
= det A (D)若det A ≠ 0 ,則 A
−1
必存在
8 請問以下何者是
的特徵值?其中i = √ −1 : (A) 0 (B) 1 (C)-1 (D) − i
9 若 S 為[ 2 0 0] , [ 0 3 1] 所生成之子空間,求向量 w = [1 1 3]在 S 上之正交投影: (A)
(B)
(C)
(D)
10 令 x = [1 3 2 ]
T
、y
1
= [1 1 1]
T
、 y
2
= [1 −1 0]
T
y
3
= [ 1 0 0]
T
且定義L為 R
3
至 R3 相對於基底(basis) [ y
1
y
2
y
3
] 之線性轉換(linear transformation):
, 則 L(x) = ? (A)
(B)
(C)
(D)
11
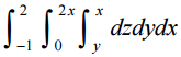
為何? (A) 0 (B) 2 (C) 3 (D) 6
【已刪除】12 有一曲面 x
2
+ y
2
+ z
2
=4 ,求經過點(1, 1, 1)且切於該曲面之平面方程式: (A) 2x − y + z = 2 (B) x − y + z =1 (C) x + y + z = 3 (D) x + y − z =1 (E)一律給分
13 若 ϕ(x, y, z) = sin(xy) − cos( yz) + x
2
yz
3
,則其在點 P = (−π , 0, π ) 最陡變化方向(gradient)的旋度(curl) 為何? (A) π
5
i −j +π
4
k (B)π
5
i + j −π
4
k (C)i − j+ k (D) 0
14 若將三維空間中之曲線 C 以參數表示法表示為 x = 2cos(t) , y = 2sin(t), z = t ;且0 ≤ t ≤ π ,則曲線 C 之 長度為: (A)
(B)
(C) √ 5π (D)3π
15 求解微分方程式
,則其解為何? (A)
(B)
(C)
(D)
16 下列何者為
之解?(答案選項中之 c 為任意常數。) (A)3x
3
+ 4( y +1) = c (B)3x
4
+ 4( y +1) = c (C) 3x
3
+ 4 ( y+1)
3
= c (D) 3x
4
+ 4( y+1)
3
= c
17 下列何者不為 y′′ − y′ − 2y = 0之解? (A) y= e
−x
+ e
2x
(B) y= e
−x
(C) y= e
2x
(D) y= e
x
+ e
2x
18 下列何者是 f (t) = 3t − 5sin 2t 的拉氏轉換(Laplace Transform)?
19 下列何者錯誤?其中u(t) 為單位步階(unit step)函數,
為拉氏轉換(Laplace Transform)
20 設 A 為一 n× n 矩陣,且已知 A 的反矩陣 A
−1
存在,則下列敘述何者錯誤? (A) rank A=rank A
−1
= n (B)det A ≠ 0 且det A
−1
≠ 0 (其中det A 表矩陣 A 的行列式值) (C) detA
− 1
=(detA)
−1
(D)可能存在另一 n× n 矩陣 B,且 B ≠ A
−1
,使得 AB = I (其中 I 為單位矩陣(identity matrix))
申論題 (6)
【已刪除】一、請用拉氏轉換(Laplace Transform)解聯立微分方程式:(10 分)
【已刪除】二、令 ∑ 是圓錐
, x
2
+ y
2
≤9 的表面,若 n 為 ∑ 之單位法向量且 F = −yi + xj − xyzk 。求
。(15 分)
⑴求 A 的特徵值(eigenvalues)。(5 分)
⑵求 A 的特徵向量(eigenvectors)。(10 分)
求:⑴ X + Y ≤ 3a / 4的機率:P{X + Y ≤ 3a / 4}。(5 分)
⑵Y ≤ 2bX / a的機率:P{ Y ≤ 2bX / a } 。(5 分)
相關試卷
114年 - 114 專技高考_電機工程技師:工程數學(包括線性代數、微分方程、複變函數與機率)#133679
114年 · #133679
114年 - 114 專技高考_電子工程技師:工程數學(包括線性代數、微分方程、向量分析、複變函數與機率)#133677
114年 · #133677
114年 - 114 調查特種考試_三等_電子科學組:工程數學#129578
114年 · #129578
114年 - 114 國家安全情報特種考試_三等_電子組(選試英文):工程數學#127780
114年 · #127780
113年 - 113 專技高考_電子工程技師:工程數學(包括線性代數、微分方程、向量分析、複變函數與機率)#123976
113年 · #123976
113年 - 113 專技高考_電機工程技師:工程數學(包括線性代數、微分方程、複變函數與機率)#123971
113年 · #123971
113年 - 113 調查特種考試_三等_電子科學組:工程數學#122110
113年 · #122110
113年 - 113 身心障礙特種考試_三等_電力工程:工程數學#119517
113年 · #119517
112年 - 112 地方政府特種考試_三等_電力工程、電子工程:工程數學#118376
112年 · #118376
112年 - 112 專技高考_電機工程技師:工程數學(包括線性代數、微分方程、複變函數與機率)#117639
112年 · #117639