阿摩線上測驗
登入
首頁
>
近代物理
>
102年 - 102 高等考試_一級_物理:近代物理研究#34182
> 申論題
題組內容
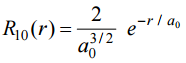
六、已知氫原子基態之徑向函數(radial function)
⑴證明在此 1s 態之徑向機率密度(radial probability density)P(r)在 r = a
0
時,為極大值。 a
0
為 Bohr radius。(5 分)
相關申論題
⑴連續光譜(Continuous spectrum)。(4 分)
#86277
⑵不連續線性光譜(Discrete line spectrum)。(4 分)
#86278
⑴Alpha α decay,並寫出其衰變過程方程式和衰變 Q 值。(3 分)
#86279
⑵Beta β decay,共有三種衰變,分別寫出其各自衰變過程方程式和衰變Q 值。(6 分)
#86280
⑶Gamma γ decay。(3 分)
#86281
⑴經過時間 t 時,其放射原子核的數目為N(t),證明 N( t) = N0e−λt 。(4 分)
#86282
⑵設某一個同位素的半衰期為 34650 年,試求出經過 1000 年後,其 N / N0 之比值為 何?(註:ln2 = 0.693)(6 分)
#86283
⑴設E > V0,求在x = 0其穿透係數(transmission coefficient)T 和反射係數(reflection coefficient)R 之總和為何?(T + R =?)(9 分)
#86284
⑵設E < V0,求其能穿透進入+x 方向之穿透深度(penetration distance)△x 為何? 此處△x 定義為從x = 0到其穿透機率降到 1/e 之點的距離。(5 分)
#86285
⑴畫出 5p4f 組態之 LS 耦合分裂之所有能階,並以光譜符號標記每個能階。(10 分)
#86290
相關試卷
114年 - 114 高等考試_三級_天文:近代物理#128643
114年 · #128643
113年 - 113 高等考試_三級_天文:近代物理#121225
113年 · #121225
112年 - 112 高等考試_三級_天文:近代物理#115423
112年 · #115423
111年 - 111 高等考試_三級_天文:近代物理#109461
111年 · #109461
108年 - 108 地方政府特種考試_三等_天文:近代物理#81605
108年 · #81605
106年 - 106 高等考試_三級_天文:近代物理#63467
106年 · #63467
104年 - 104 高等考試_一級_物理:近代物理研究#29930
104年 · #29930
102年 - 102 高等考試_一級_物理:近代物理研究#34182
102年 · #34182
102年 - 102 地方政府特種考試_三等_天文:近代物理#31346
102年 · #31346
101年 - 101 專利商標審查特種考試_三等_物理:近代物理#35010
101年 · #35010