阿摩線上測驗
登入
首頁
>
工程數學(應用數學, 線性代數、微分方程、複變函數與機率)
> 103年 - 103 地方政府特種考試_三等_電力工程、電子工程:工程數學#31587
103年 - 103 地方政府特種考試_三等_電力工程、電子工程:工程數學#31587
科目:
工程數學(應用數學, 線性代數、微分方程、複變函數與機率) |
年份:
103年 |
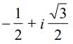
選擇題數:
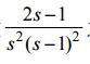
20 |
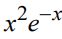
申論題數:
4
試卷資訊
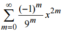
所屬科目:
工程數學(應用數學, 線性代數、微分方程、複變函數與機率)
選擇題 (20)
1 橢圓 x2 + 4y2 = 16 在點 P :(2 2, 2) 的單位切線為何?
(A)x+2y=4√ 2
(B) x+2y=5√ 2
(C)2x+y=4√ 2
(D)2x+y=5√ 2
2 設 u 和 v 均為可微分(differentiable)向量函數,則有關它們的散度(divergence)與旋度(curl)的 等式,下列何者錯誤?
3 令
a,b,c
為三向量,則下列有關其內積(inner product)與外積(cross product)的敘述何者錯誤?
4 圓錐曲面φ (x, y,z)= z -
=0 ,x , y 不全為 0,在此圓錐曲面的 (1,1,√ 2) 位置的相切平面 為何?
(A)x+y+
√ 2z=0
(B)x+y-
√ 2z=0
(C)-3x+y+
√ 2z=0
(D)x-3y+
√ 2z=0
5 一矩陣M=
,下列何者錯誤?
(A)M 不可對角化
(B)其特徵多項式有重根
(C)該矩陣有三個線性獨立(linear independent)的特徵向量(eigenvectors)
(D)存在可逆矩陣 Q,使得 Q
-1
MQ=D,M 與 D 為相似矩陣(similar matrices)
6 令 A 和 B 皆為 n×n 矩陣,且 B 為可逆,則方陣跡數 Trace(B
-1
AB)=?
(A)● Trace(A)
(B)● Trace(B
-1
) Trace(A) + Trace(B)
(C)Trace(B
-1
) + Trace(A) + Trace(B)
(D)n + Trace(A)
7 下列那一個向量不在矩陣
的列空間(row space)中?
(A)(1,1,4)(B)(2,2,8)(C)(2,1,9)(D)(3,4,2)
8 令矩陣A=
,試求 A
3
-11A
2
+3A+25I,其中I=
?
9 下列選項何者為 e
z
於 z = i 之泰勒展開式:
10 假設 C 為沿著逆時針方向繞圓周 |z| =1 ,試求積分
為何?
11 設複數z=
,其中 i = √-1 ,則 z
31
之值為何?
12 求
之反拉氏轉換為下列何者?
(A)2t + 2te
t
(B)-2t + te
-t
(C)-2t-2te
t
(D)-t + te
t
13 函數 f(t)
的傅立葉轉換(Fourier transform)為F(ω) ,下列那一個函數的傅立葉轉換為| F(ω)|
2
?
14 y''+2y'+y=
,y(0)=1,y'(0)=0,則 y(1) = ?
(A)
(B)2(C)4(D)
15 請求出
之解為下列何者?
16 下列何者是級數
的收斂半徑(radius of convergence)R?
(A)R=2 (B) R=3(C)R=
(D)R=
17 下列那一個微分方程式的通解(general solution)為 y=e
2x
(c
1
sin(√3x)+c
2
cos(√3x))?其中 c
1
和 c
2
為任意常數。
(A)y''+y'+7y=0
(B)y''+4y'+7y=0
(C)y''-4y'+7y=0
(D)4y''-16y'+13y=0
18 給定一個連續隨機變數 X,其機率密度函數為 f(x)=
,則變異數(variance)
為何? (A)1/6 (B)6 (C)12 (D)36
19 離散隨機變數 X 與 Y 之 結 合 機 率 質 量 函 數 ( joint probability mass function ) 為
,試求 P(X +Y
3) ? (A)1/9 (B)2/9 (C)4/9 (D)5/9
20 10 顆完全一樣的球分別標示為 0,1,2,...,9 並放置於一容器中,隨機從容器中取出一顆球並記下其 標示之號碼,該號碼為奇數或 3 的倍數或小於 5 之機率為何?
申論題 (4)
【已刪除】一、令一矩陣A=
,求 e
A
= ?(15 分)
二、請用拉氏轉換(Laplace transform)解 y''+y=δ(t-π)-δ(t-2π),y(0)=0,y'(0)=1, 其中 δ(t) 為單位脈衝函數(unit impulse function)。(10 分)
【已刪除】三、試求
之值。(10 分)
【已刪除】四、試應用留數定理(Residue Theorem)計算下列積分
。(15 分)
相關試卷
114年 - 114 專技高考_電機工程技師:工程數學(包括線性代數、微分方程、複變函數與機率)#133679
114年 · #133679
114年 - 114 專技高考_電子工程技師:工程數學(包括線性代數、微分方程、向量分析、複變函數與機率)#133677
114年 · #133677
114年 - 114 調查特種考試_三等_電子科學組:工程數學#129578
114年 · #129578
114年 - 114 國家安全情報特種考試_三等_電子組(選試英文):工程數學#127780
114年 · #127780
113年 - 113 專技高考_電子工程技師:工程數學(包括線性代數、微分方程、向量分析、複變函數與機率)#123976
113年 · #123976
113年 - 113 專技高考_電機工程技師:工程數學(包括線性代數、微分方程、複變函數與機率)#123971
113年 · #123971
113年 - 113 調查特種考試_三等_電子科學組:工程數學#122110
113年 · #122110
113年 - 113 身心障礙特種考試_三等_電力工程:工程數學#119517
113年 · #119517
112年 - 112 地方政府特種考試_三等_電力工程、電子工程:工程數學#118376
112年 · #118376
112年 - 112 專技高考_電機工程技師:工程數學(包括線性代數、微分方程、複變函數與機率)#117639
112年 · #117639