阿摩線上測驗
登入
首頁
>
工程數學(應用數學, 線性代數、微分方程、複變函數與機率)
> 103年 - 103 調查特種考試_三等_電子科學組:工程數學#25270
103年 - 103 調查特種考試_三等_電子科學組:工程數學#25270
科目:
工程數學(應用數學, 線性代數、微分方程、複變函數與機率) |
年份:
103年 |
選擇題數:
0 |
申論題數:
6
試卷資訊
所屬科目:
工程數學(應用數學, 線性代數、微分方程、複變函數與機率)
選擇題 (0)
申論題 (6)
【已刪除】一、試求下列函數之傅立葉級數(Fourier Series):(20 分)
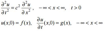
【已刪除】二、試求解下列偏微分方程式:(20 分)
【已刪除】三、有一質量 m、阻尼 c 與彈簧 k 所組成之振動系統,其方程式可以表示為
,試問此一系統有那些種類之臨界點(critical point)?(20 分)
【已刪除】四、試問下列二次式為何種圓錐曲線?並請寫出此曲線轉換至主軸(principal axes)之 座標轉換式。(20 分)
累積分布函數。(10 分)
機率P(−1/ 2 ≤ X ≤1/ 2)與P (1/ 4 ≤ X ≤ 2)。(10 分)