阿摩線上測驗
登入
首頁
>
自動控制學
> 104年 - 104年地方三等-自動控制#35018
104年 - 104年地方三等-自動控制#35018
科目:
自動控制學 |
年份:
104年 |
選擇題數:
0 |
申論題數:
5
試卷資訊
所屬科目:
自動控制學
選擇題 (0)
申論題 (5)
【已刪除】一、下圖系統中輸入信號是傳給輪軸的扭力 T(t),輸出是輪軸中心的位移 x(t),輪子的質 量是 m
w
、轉動慣量是 I
w
,輪子半徑是 R,Ff(t)是地面的摩擦力。假設輪子與地面無 滑差(純滾動摩擦),請推導從輸入 T(t)到輸出 x(t)之間的數學動態方程式。(20 分)
【已刪除】二、考慮下圖的質量-彈簧系統,假設輪子與地以及兩台車之間的輪子都無摩擦,請推 導輸入 F(t)到輸出 y(t)= x
2
(t)之間的轉移函數(transfer function)。(20 分)
【已刪除】三、有一個一階系統以 PI 控制器控制如下圖,請計算控制器的比例與積分增益 KP與 KI, 使得閉迴路系統響應的包絡線(envelope)快於 yd(t)=e
-2t
y(0) ,同時振動頻率越低 越好。(20 分)
【已刪除】四、請估計下列波德圖(Bode Diagram)所代表的轉移函數(Transfer Function)。(20 分)
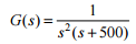
【已刪除】五、高階的伺服平台常會使用氣浮軸承以致其固態運動模式(rigid body mode)極為明 顯,再加上馬達驅動器的一部分電路動態就成了以下式所表示的系統:
此系統有三個極點,且其中有兩個在原點處,其波德圖如下圖所示:
請問以吾人熟悉的相位領先或相位延後控制器(lead/lag compensator)有沒有可能達 成穩定的閉迴路控制?若有,請設計並計算一個可穩定的控制器。(20 分)
相關試卷
114年 - 114 高等考試_二級_機械工程:自動控制學#131590
114年 · #131590
114年 - 114 關務特種考試_三等_機械工程(選試英文):自動控制#126653
114年 · #126653
113年 - 113-2 國營臺灣鐵路股份有限公司_從業人員甄試_第8階-助理工程師-電機:自動控制#137141
113年 · #137141
113年 - 113 高等考試_二級_機械工程:自動控制學#123065
113年 · #123065
113年 - 113 關務特種考試_三等_機械工程(選試英文):自動控制#119475
113年 · #119475
112年 - 112 地方政府特種考試_三等_機械工程:自動控制#118354
112年 · #118354
112年 - 112 高等考試_二級_機械工程:自動控制學#116760
112年 · #116760
112年 - 112 高等考試_三級_機械工程:自動控制#115741
112年 · #115741
112年 - 112 關務特種考試_三等_機械工程:自動控制#113920
112年 · #113920
111年 - 111 地方政府特種考試_三等_機械工程:自動控制#112361
111年 · #112361