一、考慮風力發電系統之發電效率定義為

其中 P 是風力發電機所發出之電力, Pwind 是風力中所蘊含的能量,

ρ是空氣密度, A 是轉子葉片掃描面積(rotor swept area,若葉片的半徑是 R ,此面積即為 A =πR 2 ),而 v 則為瞬時風速(假設吹過整個掃描
面積的風速是均勻的) 。在中風速區的控制目的就是要最佳化發電的電力效率 Cp 。一般水平軸風力發電機的電力效率是機組的翼尖速度比λ(tip-speed ratio)的函數,

此處的 ω是轉子轉速。我們知道電力(發電功率)是轉子扭力與速度的乘積,
P = τaeroω (1.4)
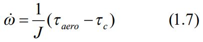
考慮τaero 為風力克服了所有的阻力(含傳動摩擦)所剩餘可以轉動風機的扭力。考慮此風機在正常操作風速範圍內所可達成的最佳發力效率為C pmax ,而為了達成此最佳發電效率,風機的控制器會輸入一個控制扭力τc 來維持風機在最佳發電效率狀態下操作。此系統為一高度非線性系統,部分廠商會使用
τc=Kω2 (1.5)
作為τc 的控制邏輯,其中

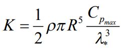
其中 C pmax 是風機可達成的最大發電效率、λ* 是最大發電效率時的翼尖速度比。由於控制扭力的介入,風機的控制閉迴路系統動態模型成為

從(1.1)~(1.7)請說明此風機控制系統的動態響應會進行何種控制,並會將系統維持在那一個操作點?(25 分)