阿摩線上測驗
登入
首頁
>
工程力學(包括流體力學與材料力學)
> 104年 - 104 原住民族特種考試_三等_土木工程:工程力學(包括流體力學與材料力學)#41222
104年 - 104 原住民族特種考試_三等_土木工程:工程力學(包括流體力學與材料力學)#41222
科目:
工程力學(包括流體力學與材料力學) |
年份:
104年 |
選擇題數:
0 |
申論題數:
6
試卷資訊
所屬科目:
工程力學(包括流體力學與材料力學)
選擇題 (0)
申論題 (6)
【已刪除】一、試計算圖 1 所示桁架之 A 點和 B 點反力,及各桿件受力。(20 分)
【已刪除】二、圖 2 所示柱體中央連接一彈簧常數為 k 的彈簧,試計算此結構之挫曲載重 Pcr (critical buckling load),假設柱體為完全剛性。(20 分)
【已刪除】三、圖 3(a)所示為一卡車的支撐大梁,兩端的支撐力分別為 F
1
及 F
2
,梁上承受均勻負荷 25 kN/m,試計算 A 點和 B 點所承受之彎曲應力,其中 A 點和 B 點處的斷面如 圖 3(b)所示。(20 分)
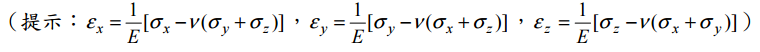
【已刪除】四、圖 4 所示為一直徑為 20 mm 之鋁棒,鋁棒的材質彈性模數 E = 73.1 GPa,波松比 ν = 0.35 ,承受 700 N 的軸向拉力,試計算其外表面之最大剪應變。(20 分)
⑴此時施加於實心圓柱的合力 F
R
,與施加的 A R=0.8 m 角度θ。
⑵實心圓柱的重量 W。