所屬科目:中山◆電機◆半導體概論
1. An unknown semiconductor has bandgap. of 1.36 eV. It is doped with donors. The effective density of states in the conduction band and the valance band are the same. The Fermi level is 0.2 eV below the bottom of the conduction band. Assume that 30% of total electrons are still in the donor states. Find the intrinsic carrier density in the material at T = 300 K. (20%)
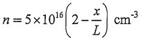
2. The electron concentration in a semiconductor material is given by
for 0≤x≤L
The length of the material L is 100 um. The electron mobility is 1500 cm2/V-s at 300 K. An electric field is applied such that the total electron current density is a constant over the given range of x and is Jn = -95 A/cm2. Determine the required electric field versus distance function. (20%)
3. The measured junction capacitance of a p+-n junction biased at VR = 2 V is 0.15 pF under T = 300 K. The intercept of the 1/C2versus VR curve is -0.735 V. The cross-sectional area is A =. Calculate the doping concentrations.
4. Consider an n-channel Si MOSFET with N = at T= 300 K. The oxide is SiO2 with a thickness of 300 . The threshold voltage is found to be VT = 0.7 V when an applied source-to-body voltage = 2.5 V. What is the threshold voltage at = 5 V ? (20%)
5. A silicon p-n-p transistor has following impurity concentrations.The base width is 1.5 um and the device cross-sectional area is 0.3 mm2 When the device is operated in the active mode, the emitter-base junction is forward biased to 0.7 V and the base- collector junction is reverse biased to 6 V. Calculate the neutral base width. (20%)