所屬科目:國營事業◆1.大地工程學 2.結構設計
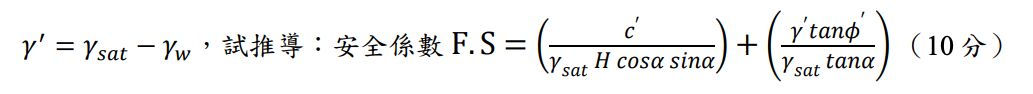
(一)地下水位在地表,若滲流方向與邊坡平行,已知,且(10 分)
(二) 假設,當 α 35°時,求臨界邊坡高度 Hcr = ?(5 分)
四、 如【圖 4】,假設有一鋼筋混凝土短柱,斷面為 40 cm 60 cm,主筋配置 6 根 D25(#8)鋼筋,箍筋為 D10(#3)鋼筋,淨保護層厚度 i = 4 cm。不可忽略壓力鋼筋所佔有混凝土面積之貢獻,試求此柱最小偏心距下之最大設計軸力(5 分)及偏心距 e 等於平衡偏心距 eb 時之平衡載重 Pb 及彎矩 Mb(10 分)。
五、如【圖5】,結實斷面 H700 200 12 25 (尺寸 之單位為 mm)之簡支鋼梁,長15 m,Fy = 3.5 tf / cm2,假設鋼梁於A、B、C處強軸方向有側撐,且梁承受均佈載重W,如【圖6】,試以極限設計法(LRFD)計算此梁強軸設計彎矩 Mn 為何?(20 分)
六、假設有一斷面 40 cm 65 cm 之鋼筋混凝土簡支梁,跨度 L = 12 m,承受向下均佈靜載重 WD = 0.5 tf / m、均佈活載重 WL = 1.5 tf / m,如【圖 7】。淨保護層厚度 i = 4 cm,鋼筋配置為拉力筋 6 根 D32(#10)、壓力筋 3 根 D32(#10),箍筋為 D13(#4),如【圖 8】。假設僅考慮撓曲強度,且不可忽略壓力鋼筋所佔有混凝土面積之貢獻,試問該梁斷面之設計彎矩M (10 分),並說明此梁是否可負荷此載重(5分)?