所屬科目:國營事業◆1.大地工程學 2.結構設計
三、某開挖工程之支撐系統及土層性質如【圖 2】,工程開挖深度為 9 m,擋土壁體貫入深度 為12 m,最下層支撐位於開挖面上3 m 處,試問擋土壁體貫入深度是否足夠?請證明之。 (15分)
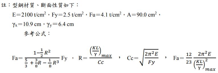
五、如【圖4】所示結構,結實斷面型鋼承受軸向載重P,桿件長度10 m,其弱軸均有支撐, 試依容許應力設計法(ASD)規定,計算容許軸向載重P。(15分) (計算至小數點後第1位,以下四捨五入)