所屬科目:國營事業◆1.大地工程學 2.結構設計
二、某地層由飽和黏土層及下方之砂土層組成,地下水位於地表面。黏土之含水量ω = 30 %, 孔隙比e = 0.8;砂土之土粒比重,含水量ω = 18.5 %。砂土層為一受壓水層, 經由置於砂土層底部之水壓計測得該點之水頭高於地表面 1.0 m,如【圖 1】所示。請 分別計算砂土層之頂部及底部(即 A、B 點)二處之孔隙水壓力及垂直向總應力(水單位重 ;請以單位:作答,並請計算至小數點後第2位,以下四捨五入)。
三、求【圖 2】所示之擋土牆(牆身無摩擦力),於靜止狀態下所受之總側向應力隨深度之變化圖(水單位重;請以單位:kPa 作答,並請計算至小數點後第 2 位,以下四捨五入)。
(二)試算斷面於平衡應變狀態下之計算彎矩 Mnb (tf-m)與計算軸力 。
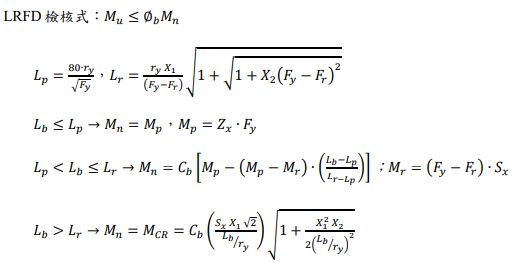
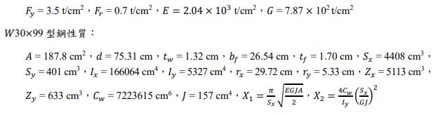
五、如【圖 4】所示,有一跨度 12 m 之梁,採用Fy = 3.5 t/cm2的??30×99 型鋼,A 為固定端,此梁在集中載重點 B及支撐點 C皆有充分側撐且承壓能力良好,若不計梁自重,且無需檢核剪力與撓度,請以極限設計法(LRFD)計算 B 所能施加之最大係數化集中載重(Pu),計算至小數點後第 2 位,以下四捨五入。已知條件及參考公式如下(單位:tf,cm)
鋼材性質:
,構材側向無支撐段兩端彎矩小者為 M1,大者為M2,且( M1 /M2 )在雙曲率彎曲時為正值,單曲率彎曲時為負值。
六、如【圖 5】所示,簡支矩形梁斷面為 b = 30 cm,d = 40 cm,D10 剪力鋼筋 、 、 ,於其上承受集中活載重及均佈靜載重(含自重), ,請計算斷面 A 所能容許之剪力筋最大間距為多少 cm(計算至小數點後第 2 位,以下四捨五入)。