阿摩線上測驗
登入
首頁
>
工程數學(應用數學, 線性代數、微分方程、複變函數與機率)
> 104年 - 104 高等考試_三級_氣象:應用數學(包括微積分、微分方程與向量分析)#24082
104年 - 104 高等考試_三級_氣象:應用數學(包括微積分、微分方程與向量分析)#24082
科目:
工程數學(應用數學, 線性代數、微分方程、複變函數與機率) |
年份:
104年 |
選擇題數:
0 |
申論題數:
6
試卷資訊
所屬科目:
工程數學(應用數學, 線性代數、微分方程、複變函數與機率)
選擇題 (0)
申論題 (6)
【已刪除】一、令
請計算出 AB, BA, v
T
Bv, det (A
2
)。(20 分)
【已刪除】二、請找出下列微分方程系統的通解並決定其臨界點的型態和穩定度。(20 分)
三、請解下列初始值問題: y ′′ + 4y = 8x
2
, y(0) = −3, y ′(0) = 0。(15 分)
四、請證明1,cos x,sin x,cos2x,sin 2x,...,cosnx,sin nx,... ,這些三角函數(trigonometric functions)在− π < x < π 之間是彼此正交的(orthogonal)。(15 分)
五、請定義和解釋單位步階函數(Unit Step Function),並推導出它的拉普拉斯轉 換(Laplace transform)。(10 分)
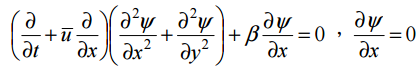
【已刪除】六、請解下列邊界值問題:
at y = ±1 and ψ (0, y) =ψ (L, y) 其中u 和β 都是常數。(20 分)