阿摩線上測驗
登入
首頁
>
工程數學(應用數學, 線性代數、微分方程、複變函數與機率)
> 105年 - 105 國家安全情報特種考試_三等_電子組:工程數學#55692
105年 - 105 國家安全情報特種考試_三等_電子組:工程數學#55692
科目:
工程數學(應用數學, 線性代數、微分方程、複變函數與機率) |
年份:
105年 |
選擇題數:
20 |
申論題數:
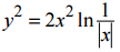
5
試卷資訊
所屬科目:
工程數學(應用數學, 線性代數、微分方程、複變函數與機率)
選擇題 (20)
1 設
,求矩陣 e
At
的行列式的值=?其中 t 為實數。 (A)0 (B)1 (C)-1 (D)e
2t
- e
- 2t
2 下列何者為以兩向量 u = (-3, 4, 1)及 v = (0, -2, 6)為相鄰兩邊所圍出的平行四邊形的面積? (A) √1036 (B) √1039 (C) √1046 (D) √1049
3求點(1, −4, −3)與平面 2x − 3y + 6z = −1之最短距離值為何? (A)3 7 (B)3 (C)3 49 (D)5 7
4 下列何者是矩陣
的特徵向量?(A)
(B)
(C)
(D)
5 令 N( A )代表矩陣 A 之零空間(null space)。當
,則下列何者屬於 N( A )?(A)(1,1,-1)
T
(B)(1,0,1)
T
(C)(2,1,4)
T
(D)(1,0,0)
T
6 令
為一複數級數(complex series),且已知
,則下列敘述何者錯誤?(A)若 L<1,則此級數收斂 (B)若 L<1,則此級數絕對收斂(absolutely convergent)(C)若 L>1,則此級數發散 (D)若
= 0,則此級數收斂
7 有一矩陣
,求 A
99
=?(A)
(B)
(C)
(D)
8 下列何者為
之解?其中i = √− 1 。(A)
(B)
(C)
(D)
9 令 z 與 w 為複數,下列敘述何者錯誤? (A)
(B)
(C)
(D)
10 假設 C 為沿著逆時針方向繞圓周 |z −i| = 2,試求積分
為何?(A)0 (B)
(C)
(D) 2π
11 下列何者是 y′′′ + y′′ − 4y′ − 4y = 0的通解? (A)
為常數(B)
為常數(C)
為常數(D)
為常數
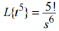
12 若 f (t)之拉氏轉換(Laplace transform)為 L{ f (t)}=F(s),下列何者錯誤? (A)
(B)
(C)
(D)
,其中 u(t)為單位步階函數(unit step function)
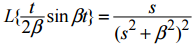
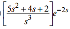
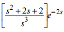
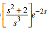
13 函數
之拉氏轉換(Laplace transform)為何?其中 u(t)為單位步階函數(unit step function)。(A)
(B)
(C)
(D)
14 下列何者是
的解?(A)
(B)
(C)
(D)
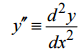
15
之收斂值為下列何者?(A)0 (B)1 (C)-1 (D)2
16 若
之解,且m ≠ n,則 m + n 之值為何?其中 a,b,m,n 為常數,
,
。(A)-4 (B)-3 (C)1 (D)4
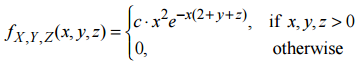
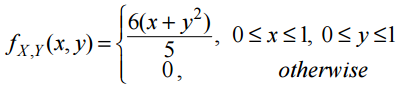
17 連續隨機變數 X,Y,Z 之結合機率密度函數(joint probability density function)為
,c 值為何?(A)1 (B)2 (C)4 (D)8
18 某工廠有 3 台機器 B1, B2, B3分別生產 30%、45%和 25%的產品。已知 3 台機器的產品中分別有 2%、3% 和 2%的瑕疵品。假設現在任意選取一個產品,它是瑕疵品的機率為何?(A)0.07 (B)0.0245 (C)0.0135 (D)0.021
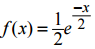
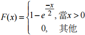
19 假設隨機變數 X 的機率密度函數(probability density function)為 f(x)及累積分布函數(cumulative distribution function)為 F(x)。已知
,下列敘述何者錯誤?(A)
,當 x >0 (B)
(C)
(D)
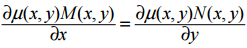
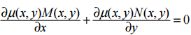
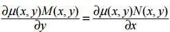
20 若 μ(x, y) 為微分方程式
的積分因子(integrating factor),則 μ(x, y) 須滿足下列何種條件?(A)
(B)
(C)
(D)
申論題 (5)
【已刪除】一、某剛體 B(rigid body)以固定之角速度
旋轉,已知該剛體上之任一點 P(x, y, z)之 瞬時速度(instant velocity)可利用公式
求得,其中
為 P 點之位置向量 (position vector),試求出
之關係。(15 分)
⑴其特徵值(eigenvalues)及其特徵向量(eigenvectors)。(5 分)
⑵以⑴之解對角化此矩陣。(5 分)
【已刪除】三、求解
,其中
。(15 分)
【已刪除】四、二維隨機變數 X 與 Y 的結合機率密度函數(joint probability density function)為
。試分別求出 X 與 Y 的邊際機率密度函數 (marginal probability density function) f
X
(x) 與 f
Y
(y) (10 分)
相關試卷
114年 - 114 專技高考_電機工程技師:工程數學(包括線性代數、微分方程、複變函數與機率)#133679
114年 · #133679
114年 - 114 專技高考_電子工程技師:工程數學(包括線性代數、微分方程、向量分析、複變函數與機率)#133677
114年 · #133677
114年 - 114 調查特種考試_三等_電子科學組:工程數學#129578
114年 · #129578
114年 - 114 國家安全情報特種考試_三等_電子組(選試英文):工程數學#127780
114年 · #127780
113年 - 113 專技高考_電子工程技師:工程數學(包括線性代數、微分方程、向量分析、複變函數與機率)#123976
113年 · #123976
113年 - 113 專技高考_電機工程技師:工程數學(包括線性代數、微分方程、複變函數與機率)#123971
113年 · #123971
113年 - 113 調查特種考試_三等_電子科學組:工程數學#122110
113年 · #122110
113年 - 113 身心障礙特種考試_三等_電力工程:工程數學#119517
113年 · #119517
112年 - 112 地方政府特種考試_三等_電力工程、電子工程:工程數學#118376
112年 · #118376
112年 - 112 專技高考_電機工程技師:工程數學(包括線性代數、微分方程、複變函數與機率)#117639
112年 · #117639