27 x1, x2,⋯, x20是甲地過去 20 年每年某作物的生產量(噸/單位),t1,t2,⋯,t20 是這 20 年的攝氏溫標年 均值,而t1 *,t2 *,⋯,t20 * 是這 20 年的華氏溫標年均值,即
。若
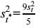
是t1,t2,⋯,t20的變異 數,
是
的變異數且
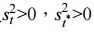
,下列敘述何者正確? (A)t1,t2,⋯,t20的變異係數(coefficient of variation)與t1 *,t2 *,⋯,t20 * 的變異係數一致 (B)
(C)若sxt是x1, x2,⋯, x20與 t1,t2,⋯,t20的共變異數(covariance)而sxt*是
與
的共變 異數,則
(D)t1,t2,⋯,t20之t1的 z 分數(z-score)與
之t1 的 z 分數(z-score)與
的 z 分數是一樣的