所屬科目:技檢◆電力電子-乙級
9. 下圖為直流-直流功率轉換器,其名稱為(A)推挽式(push-pull)功率轉換器(B)全橋式(full-bridge)功率 轉換器(C)馳返式(fly-back)功率轉換器(D)半橋式(half-bridge)功率轉換器。
16. 下圖所示為單相逆變換器(inverter)之輸出週期性交流方波電壓 ν (t ),其總諧波失真率(THD)為何? (A)32%(B)72%(C)48%(D)36%。
18. 某 Y 接三相平衡電壓源,其線對線電壓為 220V 有效值,則其相電壓峰值為(A) (B) (C)220V(D)
23. 下圖半加器的 S(和)輸出為(A) (B)AB(C)A+B(D)A⊕B。
31. 資料長度為 16 位元,系統採用 2 的補數時,能表達的整數範圍為何?(A)(B)-(28) ~+(28 -1)(C)(D)
32.,則 i(t)有效值為多少?(A)150A(B)200A(C)100A(D)250A。
34. 下圖所示電路及相關波形,為直流電壓,S 為一理想開關,Ts 為開關運作週期,為開關導通 時間,為開關關閉時間,若=3/2,且 Vd =10V,則平均電壓 Vo =?(A)2V(B)6V(C)8V(D)4V。
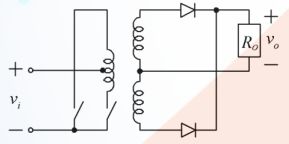
35. 二極體單相橋式全波整流器之電源為 Vm sin377t 伏,則平均輸出電壓 Vdc 為:(A)(B)(C)(D)
38. 電壓與電流之相位角差為多少?(A)120°(B)90°(C)30°(D)60°。
40. 下圖為何種元件之圖示符號?(A)GTO(B)TRIAC(C)SCR(D)DIAC。
41. 下圖所示電路中,Vo 與 Vi 間之相移角度 θ 範圍應為多少?(A)0<θ<360°(B)0<θ<180°(C)0<θ <90°(D)0<θ<270°。
42. 下列各圖所示,何者為透納(tunnel)二極體之符號? (A) (B) (C) (D)
43. 下圖之邏輯閘之布林(Boolean)函數為(A)Y=A+B(B) (C)Y=A⊕B(D)Y=A‧B。
44. 下圖所示電路中,R=10kΩ 時,通過齊納(Zener)二極體之電流為多少?(A)10mA(B)5mA(C)3mA(D)7mA。
59. 如下圖,你知道這是什麼標章嗎?(A)環保標章(B)省水標章(C)節能標章(D)奈米標章。
61. 下圖為降壓型轉換器,開關元件 S1 的切換頻率為 100kHz,輸入電壓 Vs 為 12V,輸出電壓 Vo 為 3 V,若電感電流為連續模式操作,則下列何者為正確?(A)開關元件S1的導通責任週期為 0.5(B)開關元件S1的導通狀態時間為 2.5μs(C)開關元件S1的截止狀態時間為 7.5μs(D)開關元件S1的導通責 任週期為 0.25。
63. 在元件佈置圖繪製的電子元件中,下列選項中哪些為電晶體元件? (A) (B) (C) (D)
65. 下列有關雙極性接面電晶體的敘述何者正確(A)在飽和區時 (B)在飽和區時輸出特性幾乎是線性(C)在飽和區時能被當作開關使用(D)是一個電流控制元件。
68. 下圖所示電路,下列敘述何者正確?(A)該電路可作為積分器(B)當輸入電壓斜率為正時,輸出為負值 (C)該電路可作為微分器(D)該電路為非反向放大器
70. 已知,求之值(使用直角坐標與極座標運算)(A) (B) (C) (D)
71. 下圖所示之具有濾波電容半波整流電路,輸入電源為, f表示頻率(Hz), 下列哪些選項正確?(A)二極體截止時輸出電壓為 0V(B)二極體導通時輸出電壓為 (C)二極體電流為脈波(D)峰對峰值輸出漣波電壓約為
73. 若頻率 ω=2000 弳/秒,1kΩ 電阻的阻抗,3H 電感器的阻抗,0.1µF 電容器的阻抗,下列 何者正確?(A) (B) (C) (D)
74. 下圖所示電路中,若 Q1 與 Q2 相同,下列何者正確?(A)頻率約為 0.72÷(RC)(B)該電路為單穩式多諧振盪器(C)該電路為不穩式多諧振盪器(D)頻率約為 1.4RC。
78. 下圖所示之電壓波形 v(t),下列哪些選項正確?(A)週期為 2s(B)峰對峰值為 15V(C)有效值為(D)平均值為 10V