阿摩線上測驗
登入
首頁
>
技檢◆電力電子-乙級
> 114年 - 11600 電力電子 乙級 工作項目 08:電力電子系統與應用 101-164(2025/12/12 更新)#134851
114年 - 11600 電力電子 乙級 工作項目 08:電力電子系統與應用 101-164(2025/12/12 更新)#134851
科目:
技檢◆電力電子-乙級 |
年份:
114年 |
選擇題數:
64 |
申論題數:
0
試卷資訊
所屬科目:
技檢◆電力電子-乙級
選擇題 (64)
複選題
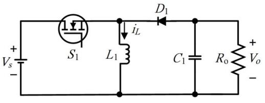
101. 下圖為升壓型轉換器,開關元件 S
1
的切換頻率為 25kHz,輸入電壓 V
s
為12V,輸出電壓 V
o
為 15V,若電感電流為連續模式操作,下列哪些正確?
(A)開關元件 S
1
的導通時間為 8μs (B)開關元件 S
1
的導通責任週期為 0.2 (C)開關元件 S
1
的導通時間為 32μs (D)開關元件 S
1
的導通責任週期為 0.8 。
複選題
102. 下圖為降壓型轉換器,開關元件 S
1
的切換頻率為 100kHz,輸入電壓 V
s
為12V,輸出電壓 V
o
為 3V,若電感電流為連續模式操作,下列哪些正確?
(A)開關元件 S
1
的導通責任週期為 0.25 (B)開關元件 S
1
的導通責任週期為 0.5(C)開關元件 S
1
的導通狀態時間為 2.5μs (D)開關元件 S
1
的截止狀態時間為7.5μs 。
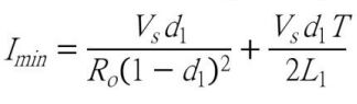
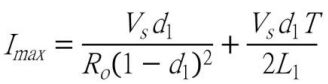
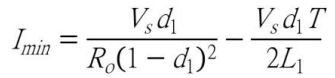
複選題
103. 下圖所示電路中,降升壓轉換器(buck-boost converter),在穩態操作且電感電流 i
L
為連續,d
1
為開關元件 S
1
的導通責任週期,切換週期為 T,則電感電流最大值 I
max
及最小值 I
min
為
(A)
(B)
(C)
(D)
。
複選題
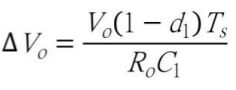
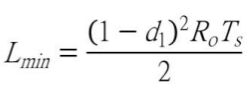
104. 下圖為降升壓轉換器(buck-boost converter),在穩態操作且電感電流 i
L
為連續,d
1
為開關元件 S
1
的導通責任週期,T
s
為開關切換週期,f
s
為切換頻率,電感電流為臨界條件時的電感最小值 L
min
及輸出電壓的漣波ΔV
o
為
(A)
(B)
(C)
(D)
。
複選題
105. 關於軟性切換(soft switching)轉換器的特性,下列哪些正確? (A)在零電流時切換 (B)在零電壓時切換 (C)切換損失高 (D)切換損失極低 。
複選題
106. 轉換器的切換頻率與濾波元件及變壓器的關係,下列哪些正確? (A)切換頻率越高,濾波元件的電感及電容值越大 (B)切換頻率越高,變壓器的體積越大 (C)切換頻率越高,濾波元件的電感或電容值越小 (D)切換頻率越高,變壓器的體積越小 。
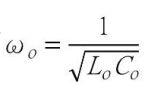
複選題
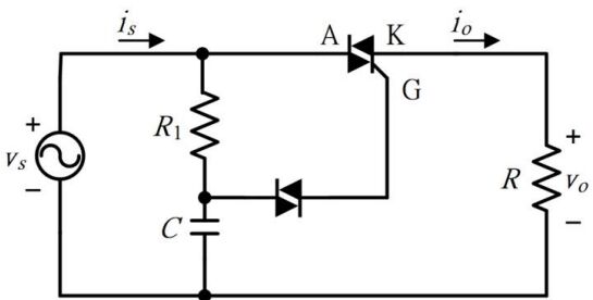
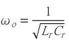
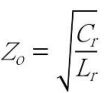
107. 下圖為諧振式轉換器,關於諧振角頻率ω
o
及特性阻抗 Z
o
,下列哪些正確?
(A)諧振角頻率
(B)諧振角頻率
(C)諧振電路的特性阻抗
(D)諧振電路的特性阻抗
。
複選題
108. 下圖為諧振式轉換器,關於開關元件 S
1
的切換過程,下列哪些正確?
(A)電感 L
r
的電流 i
L
為零時,開關元件 S
1
截止 (B)電感 L
r
的電流 i
L
為零時,開關元件 S
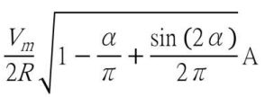
1
導通 (C)此開關元件 S
1
為零電壓切換 (D)此開關元件 S
1
為零電流切換 。
複選題
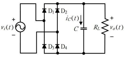
109. 下圖為串聯諧振式直流-直流(dc-dc)轉換器的電路,此電路的諧振頻率 f
o
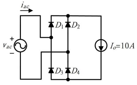
及角頻率ω
o
為
(A)
(B)
(C)
(D)
。
複選題
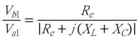
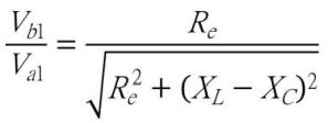
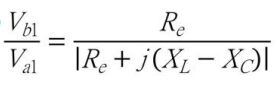
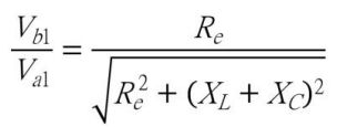
110. 串聯諧振式直流-直流(dc-dc)轉換器,下圖所示穩態的交流電路,其基本波振幅 V
b1
及 V
a1
的關係,下列哪些正確?
(A)
(B)
(C)
(D)
。
複選題
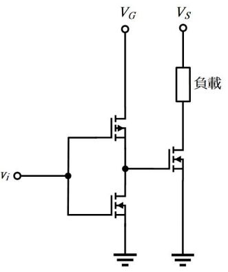
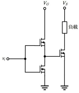
111. N 型 MOSFET 的驅動級電路,下列哪些正確? (A)
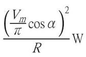
(B)
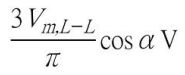
(C)
(D)
。
複選題
112. 下列關於 N 型 MOSFET 的驅動電流之敘述,哪些正確? (A)導通狀態的穩態電流為零 (B)導通狀態的穩態電壓為零 (C)截止狀態的穩態電流為零 (D)截止狀態的穩態電壓高於臨界電壓 。
複選題
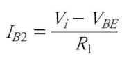
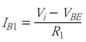
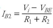
113. 下圖為雙極性電晶體的驅動電路及基極電流,其中 V
BE
為飽和區的基極與射極電壓,則基極電流 I
B1
及 I
B2
為
(A)
(B)
(C)
(D)
。
複選題
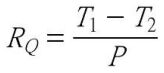
114. 關於功率級電晶體的散熱方面,以熱阻(thermal resistance)
,單位為℃/W,下列哪些正確? (A)P 為熱功率,單位為 W (B)P 為熱電流,單位為 A (C)T
1
-T
2
為兩點之間的溫度,單位為℃ (D)T
1
-T
2
為兩點之間的溫度,單位為 K 。
複選題
115. 關於開關元件的緩振電路(snubber circuit),下列哪些正確? (A)降低開關元件在切換期間的功率損失 (B)提高開關元件在切換期間的功率損失 (C)保護開關元件,避免高電壓之切換應力 (D)保護開關元件,避免大電流之切換應力 。
複選題
116. 電力電子不可控制元件(uncontrolled devices),下列哪些正確? (A)功率二極體(power diode) (B)電晶體(BJT) (C)金氧半場效電晶體(MOSFET) (D)肖特基二極體(Schottky diode) 。
複選題
117. 電力電子電流驅動元件(current drive devices),下列哪些正確? (A)可關斷閘流體(GTO) (B)功率電晶體(BJT) (C)功率金氧半場效電晶體(MOSFET) (D)絕緣閘雙極性電晶體(IGBT) 。
複選題
118. 已導通的可切斷閘流體(GTO)之截止條件,下列哪些正確? (A)使陽極電流小於保持電流(holding current) (B)閘極加入較大的負向電流 (C)截斷陽極電路 (D)閘極開路 。
複選題
119. 下圖電路中,SCR 之觸發電壓(trigger voltage)V
T
=0.75V、觸發電流(trigger current)I
T
=7mA 與保持電流(holding current)I
H
=6mA,下列哪些正確?
(A)陽極電流小於 6mA 時,SCR 仍可保持導通 (B)閘極電流大於7mA 時,SCR 可觸發導通 (C)SCR 切斷(off)時之輸出電壓 V
out
=0.75V (D)能觸發 SCR 之輸入電壓 V
in
=7.75V 。
複選題
120. 理想的電感器與電容器,在穩態週期的電壓與電流操作時,下列哪些正確? (A)電感器瞬間功率為零 (B)電感器平均功率為零 (C)電容器瞬間功率為零 (D)電容器平均功率為零 。
複選題
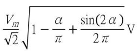
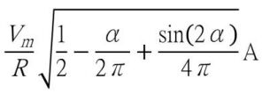
121. 下圖所示之電壓波形 v(t),下列哪些正確?
(A)週期為 2s (B)平均值為 10V(C)峰對峰值為 15V (D)有效值為
。
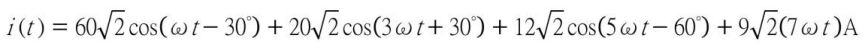
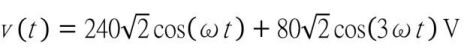
複選題
122. 下圖所示為能量從電源端傳送至負載端,假設 v
s
(t)=4cos(ωt)+0.5(3ωt-15°)+0.1cos(7ωt+45°)V,i(t)=0.5cos(ωt+60°)+0.2cos(3ωt+45°)+0.08cos(3ωt+45°)A,下列哪些正確?
(A)電源端電壓平均值為 0V (B)電流平均值為 0A(C)電源端電壓有效值約為 4.6V (D)電流有效值約為 0.385A 。
複選題
123. 有一負載之端電壓及端電流分別為
及
,式中ω=377rad/s,下列哪些正確? (A)端電壓有效值約為 253V (B)電流總諧波失真約為 0.4167 (C)送至負載之平均功率約為 21500W (D)功率因數約為0.843 。
複選題
124. 下圖所示之單相半波整流電路具有純電阻負載,輸入電源為 110V、60Hz,電阻負載為 5Ω,下列哪些正確?
(A)負載之電壓平均值約 49.5V (B)負載之電壓有效值約 77.8V (C)二極體 D 峰值逆向電壓為 110V (D)送至負載之平均功率約為 1210W 。
複選題
125. 下圖中,L 為不含任何電阻之純電感,並假設二極體導通時,壓降為零,下列哪些正確?
(A)
(B)
(C)
(D)L 所消耗的平均功率為零 。
複選題
126. 下圖所示之未加電源電路,初值條件為 v
c
(0)=-100V,i
L
(0)=0A,SCR 在t=0 時激發,下列哪些正確?
(A)SCR 不會導通 (B)LC 持續振盪 (C)理想反向後電容電壓為 100V (D)電感電流峰值為 10A 。
複選題
127. 下圖所示之具有濾波電容半波整流電路,輸入正弦波電源電壓有效值為20V,R
L
=10kΩ,C=68μF,下列哪些正確?
(A)輸出電壓平均值約為 28V(B)負載電流愈大,輸出漣波電壓愈小 (C)若增大濾波電容,輸出漣波電壓會變小 (D)二極體電流為弦波的正半波 。
複選題
128. 下圖所示之具有濾波電容橋式全波整流電路,輸入正弦波電源電壓有效值為 120V,R
L
=100Ω,C=100μF,下列哪些正確?
(A)輸出電壓平均值約為168V (B)負載電流愈大,輸出漣波電壓愈大 (C)若增大濾波電容,輸出漣波電壓變大 (D)二極體電流為脈波 。
複選題
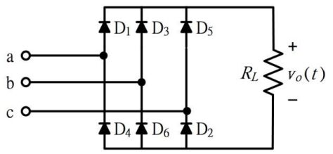
129. 下圖所示之三相平衡交流電壓經過一個三相全波二極體橋式整流電路連接至一個 100Ω電阻器負載,若三相電壓之相電壓峰值為 180V,且二極體為理想元件,下列哪些正確?
(A)每一瞬間都有 2 個二極體導通 (B)一個週期中,每個二極體導通 60° (C)負載的直流電壓約為 300V (D)通過每一個二極體的峰值電流約為 3.12A 。
複選題
130. 下圖所示為單相二極體全波橋式整流電路,交流電源
,若負載為 10A 之電流源,下列哪些正確?
(A)電源端之電壓有效值為 100V (B)負載電流有效值為 10A (C)電源電流基本波有效值為
(D)電源端的功率因數為 0.9 。
複選題
131. 由 SCR 及二極體組成之三相半轉換器(semi-converter),其電源為三相 Y接 220V、60Hz(變壓器二次側 Y 接而成),若負載電流為 12A,連續且無漣波成分。於激發延遲角=60°時,下列哪些正確? (A)SCR 電流平均值為4A (B)SCR 電流有效值約為 6.93A (C)整流效率為 1 (D)變壓器利用率約為0.5 。
複選題
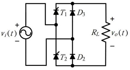
132. 下圖所示為單相半控全波全橋整流電路,交流電源
,若負載電阻為 20Ω,觸發延遲角為 30°,下列哪些正確?
(A)負載端電壓平均值為 120V (B)負載電流有效值約為 5.91A (C)負載平均功率約為 699W (D)電源端的功率因數約為 0.986 。
複選題
133. 下圖所示之交流電壓控制器電路,電源
,負載R=5Ω,閘流體激發延遲角調在α=60°,下列哪些正確?
(A)負載端電壓有效值約為 99V (B)負載端電壓平均值為 0V (C)負載之平均功率為 0W (D)電源側功率因數約為 0.9 。
複選題
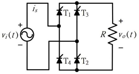
134. 下圖所示之單相交流電壓控制器(AC voltage controller),接電阻性負載,下列哪些正確?
(A)可採導通-截止(on-off)或相位控制(phasecontrol)兩種控制模式 (B)兩 SCR 可同時導通 (C)兩 SCR 分別導通時間若相同,電源與負載之電流平均值為 0A (D)兩 SCR 分別導通時間若相同,則流過每個 SCR 之電流有效值為負載電流有效值的
倍 。
複選題
135. 下圖所示之三相交流電壓控制器,Y 接電阻性負載,下列哪些正確?
(A)SCR 每隔 120°導通一次 (B)輸出電壓正、負半週對稱 (C)負載電流無偶次諧波 (D)當激發延遲角α≧150°時,輸出電壓為零 。
複選題
136. 下列哪些轉換器可實現降壓與升壓功能? (A)降壓型轉換器 (B)升壓型轉換器(C)邱克轉換器 (D)SEPIC 。
複選題
137. 全橋式轉換器之輸出電壓與下列哪些相關? (A)切換頻率 (B)輸入電壓 (C)變壓器匝數比 (D)責任週期 。
複選題
138. 下列哪些為變頻器振幅調變率(modulation index)與頻率調變率之正確敘述? (A)若振幅調變率小於 1,則基本頻率之電壓振幅正比於該調變率 (B)降低頻率調變率可提升轉換器效率 (C)若振幅調變率大於 1,輸出電壓振幅會隨調變率線性增大 (D)提高頻率調變率可降低諧波群之頻率 。
複選題
139. 下列關於諧振式電力轉換器之敘述,哪些正確? (A)可實現零電壓切換 (B)可實現零電流切換 (C)可提升轉換器效率 (D)可降低傳導損失 。
複選題
140. 下列對電力轉換器中的電感器與電容器特性之敘述,哪些正確? (A)穩態操作時,電感器電壓需伏特秒平衡 (B)穩態操作時,電容器電流之平均值為零(C)電感器與電容器之電流值皆可瞬間改變 (D)在降壓型轉換器中,電壓的漣波率與電感值以及電容值皆相關 。
複選題
141. 當單一 SCR 之額定電壓或電流低於電路工作需求時,下列哪些正確? (A)使用數個 SCR 串聯,增加其耐壓 (B)使用數個 SCR 並聯,提高其輸出電流 (C)使用數個 SCR 串聯,增加其輸出電流 (D)使用數個 SCR 並聯,提高其耐壓 。
複選題
142. 電力電子的典型應用,下列哪些正確? (A)將數位信號轉為類比信號 (B)將交流電(ac)轉換成直流電(dc) (C)將直流電(dc)轉換成交流電(ac) (D)將未調節(unregulated)的直流電壓轉換成已調節(regulated)的直流電壓 。
複選題
143. 常用於電力電子之模擬軟體,下列哪些正確? (A)PSpice (B)PSIM (C)MATLAB/SIMULINK (D)OpenDSS 。
複選題
144. 下圖所示之週期性電流波形 i(t),下列哪些正確?
(A)週期為 2ms (B)平均值為 2A (C)峰對峰值為 2A (D)有效值為
。
複選題
145. 弦波電源與非線性負載,弦波電源為 v(t)=V
1
sin(ω
0
t+θ
1
)V,非線性負載電流
,下列哪些正確? (A)負載吸收的平均功率為 V
1
I
0
W (B)電流平均值為 I
0
A (C)電流有效值為
(D)負載功率因數為 cos(θ
1
- Φ
1
) 。
複選題
146. 全波整流器之輸出電壓
,下列哪些正確? (A)有效值為
(B)有效值為
(C)平均值為 0V (D)平均值為
。
複選題
147. 下圖所示之單相半波整流電路具有純電阻負載,輸入電源為 v
i
(t)=V
m
sin(ωt)V,下列哪些正確?
(A)負載之輸出電壓平均值為
(B)負載之輸出電壓有效值為
(C)二極體 D 之峰值逆向電壓為 2V
m
V (D)送至負載之平均功率為
。
複選題
148. 下圖所示之單相半波整流電路具有電感及電阻串聯負載,輸入電源為v
i
(t)=V
m
sin(ωt)V,關於電流 i(t)之特性,下列哪些正確?
(A)僅有強迫響應(forced response) (B)僅有自然響應(natural response) (C)為強迫響應與自然響應之和 (D)不會連續導通 。
複選題
149. 下圖所示之具有濾波電容半波整流電路,輸入電源為 v
i
(t)=V
m
sin(ωt)V,ω=2πf,f 表示頻率(Hz),下列哪些正確?
(A)二極體導通時,輸出電壓為 V
m
sin(ωt)V (B)二極體截止時,輸出電壓為 0V (C)峰對峰值輸出漣波電壓約為
(D)二極體電流為脈波 。
複選題
150. 下圖所示之具有濾波電容橋式全波整流電路,輸入電源為 v
i
(t)=V
m
sin(ωt)V,ω=2πf,f 表示頻率(Hz),下列哪些正確?
(A)二極體導通時,輸出電壓為|V
m
sin(ωt)|V (B)二極體截止時,輸出電壓為 0V (C)峰對峰值輸出漣波電壓約為
(D)二極體電流為正弦波 。
複選題
151. 下圖為單相受控全波整流電路,輸入電源為 v
i
(t)=Vmsin(ωt)V,純電阻性負載,觸發延遲角為α,下列哪些正確?
(A)負載端電壓平均值為
(B)負載電流有效值為
(C)負載平均功率為
(D)電源電流有效值等於負載電流有效值 。
複選題
152. 下圖所示之三相平衡交流電壓經過一個受控三相全波整流電路連接至一個電阻性負載,輸入電源參考線間電壓為 V
m,L -L
sin(ωt)V,考慮負載電流連續時,觸發延遲角為α,下列哪些正確?
(A)負載端電壓平均值為
(B)負載電壓諧波次數為 6k,k 為大於零的正整數 (C)諧波振幅與α無關 (D)每一週期負載電壓有 12 脈波 。
複選題
153. 考慮不受控單相橋式整流電路換向時之電源電感效應,輸入電源為v
i
(t)=V
m
sin(ωt)V,電源電感抗為 X
s
Ω,固定之負載電流為 I
o
A,下列哪些正確? (A)電源電感效應會降低輸出電壓平均值 (B)換向角
(C)負載端電壓平均值為
(D)換向期間4 個二極體皆不會導通 。
複選題
154. 下圖所示之單相交流電壓控制器(AC voltage controller),輸入電源為v
i
(t)=V
m
sin(ωt)V,純電阻性負載,觸發延遲角為α,若兩 SCR 分別導通時間相同,下列哪些正確?
(A)負載端電壓平均值為 0V (B)負載端電壓有效值為
(C)純電阻性負載,功率因數為 1 (D)流過每個SCR 之電流有效值為
。
複選題
155. 相較於交流電傳輸系統,關於直流電傳輸之優點,下列哪些正確? (A)傳輸線阻抗較低 (B)可用電纜線傳輸 (C)交直流轉換成本較低 (D)無虛功電流 。
複選題
156. 就功率因數而言,下列哪些正確? (A)功率因數越高表示電源電力利用率越高 (B)功率因數越高表示電力轉換效率越高 (C)功率因數定義為實功率對視在功率的比值 (D)當功率因數大於 1 時表示電源端可從負載回收較大之功率 。
複選題
157. 下列關於降壓型轉換器之同步整流的敘述,哪些正確? (A)電路效率較高 (B)可降低電感值 (C)電力開關切換的控制上需要設計『空白時間』(deadtime) (D)輸出電壓漣波小 。
複選題
158. 下列關於交流電源濾波器之敘述,哪些正確? (A)可抑制電源供應器所產生的傳導性射頻干擾(radio-frequency interference, RFI)之雜訊 (B)差模雜訊則由饋線與中性線導體中相差 90° (C)共模雜訊由同相且透過接地路徑返回電源之饋線與饋線導體中的電流所構成 (D)須使用 Y 電容(Y capacitor)及X 電容(X capacitor) 。
複選題
159. 下列對電晶體緩振器(snubber)電路之敘述,哪些正確? (A)在電晶體截止期間,大部分的能量都傳送至電阻器 (B)電容器可降低電晶體之截止時切換功率損失 (C)可避免電晶體操作超出安全操作區域(SOA) (D)設計得宜時,可改善電路整體效率 。
複選題
160. 電力電子系統中,常見下列哪些種類的接地? (A)金屬機殼接地 (B)屏蔽接地(C)過壓保護接地 (D)過流保護接地 。
複選題
161. 電力電子系統中,常見抑制輸入湧浪電流(inrush current)的做法有哪些? (A)串聯負溫度係數電阻 (B)串聯限流電阻,且在限流電阻並聯繼電器(C)並聯負溫度係數電阻 (D)並聯電容 。
複選題
162. 下列哪些元件常用於抑制電力電子系統的電磁干擾? (A)X 電容 (B)Y 電容(C)共模電感(common mode choke) (D)壓敏電阻(varistor) 。
複選題
163. 下列哪些為整流器(AC/DC)之重要規格參數? (A)輸入電壓及頻率 (B)責任週期 (C)直流輸出電壓及電流 (D)輸出電壓漣波 。
複選題
164. 下列哪些為絕緣閘雙極性電晶體(IGBT)功率半導體元件之特性? (A)驅動電路類似 BJT (B)導通狀態類似 MOSFET (C)高輸入阻抗 (D)電壓控制其導通及截止 。
申論題 (0)
相關試卷
114年 - 11600 電力電子 乙級 工作項目 09:裝備測試與檢修 1-43(2025/12/12 更新)#134852
114年 · #134852
114年 - 11600 電力電子 乙級 工作項目 08:電力電子系統與應用 51-100(2025/12/12 更新)#134850
114年 · #134850
114年 - 11600 電力電子 乙級 工作項目 08:電力電子系統與應用 1-50(2025/12/12 更新)#134849
114年 · #134849
114年 - 11600 電力電子 乙級 工作項目 07:程式設計與微電腦應用 1-31(2025/12/12 更新)#134848
114年 · #134848
114年 - 11600 電力電子 乙級 工作項目 06:邏輯與數位系統 1-61(2025/12/12 更新)#134847
114年 · #134847
114年 - 11600 電力電子 乙級 工作項目 05:電子學 51-85(2025/12/12 更新)#134846
114年 · #134846
114年 - 11600 電力電子 乙級 工作項目 05:電子學 1-50(2025/12/12 更新)#134845
114年 · #134845
114年 - 11600 電力電子 乙級 工作項目 04:電工學 51-117(2025/12/12 更新)#134843
114年 · #134843
114年 - 11600 電力電子 乙級 工作項目 04:電工學 1-50(2025/12/12 更新)#134842
114年 · #134842
114年 - 11600 電力電子 乙級 工作項目 03:儀表及工具使用 1-42(2025/12/12 更新)#134841
114年 · #134841