所屬科目:技檢◆電力電子-乙級
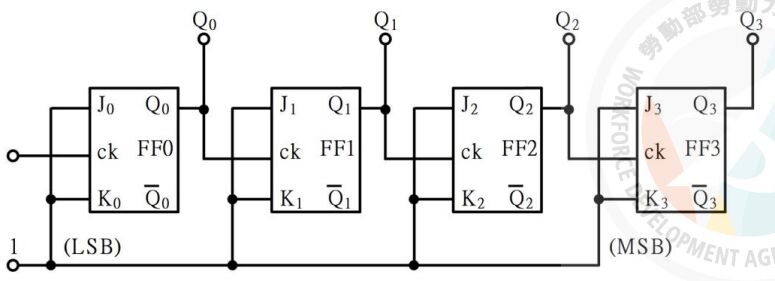
(A)移位暫存器 (B)同步上數計數器 (C)同步下數計數器 (D)漣波計數器 。
(A)反或閘電路 (B)反及閘電路 (C)互斥或閘電路(D)或閘電路 。
(A)做為非穩態振盪 (B)其輸出頻率決定於 R1、R2 及 C (C)輸出波形為正弦波 (D)R1 與 R2 之大小可改變其輸出訊號工作週期 。
(A)A=B=C (B)A=B=1 (C)A=0,B可為任意值 (D)A=0、B=1 或 A=1、B=0 。
(A)反或閘電路 (B)反及閘電路 (C)及閘電路 (D)互斥或閘電路 。
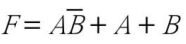
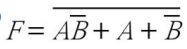
(A)(B) (C)AB (D)A+B 。
(A)AB (B)A+B (C) (D)A⊕B 。
(A)時脈 (B)負緣觸發 (C)正緣觸發 (D)同步 。
(A)T 型 (B)RS 型 (C)D 型 (D)反相 RS 型 。
(A)0 (B)1 (C)A (D)B 。
(A)高態動作 2 對 4 解碼器 (B)高態動作 2 對 4 多工器 (C)低態動作 2 對 4 解碼器 (D)低態動作 2 對 4 多工器 。
(A)選擇=1;致能=1 (B)選擇=1;致能=0 (C)選擇=0;致能=1 (D)選擇=0;致能=0 。
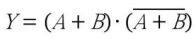
(A)(B)Y=A+B+C (C)Y=A・B・C (D) 。
(A)Y=A・B・C (B)Y=A+B+C (C) (D)Y=A⊕B⊕C 。
(A)(B)(C)Y=A・B (D)Y=A+B 。
(A)Y=A⊕B (B)Y=A+B (C)Y=A・B(D) 。
(A)20kHz (B)10kHz (C)5kHz (D)2.5kHz 。
(A) (B)(C)(D) 。
(A)屬於漣波計數器 (B)屬於同步計數器 (C)除 3 的除頻電路 (D)除 4 的除頻電路 。