阿摩線上測驗
登入
首頁
>
技檢◆電力電子-乙級
> 114年 - 11600 電力電子 乙級 工作項目 09:裝備測試與檢修 1-43(2025/12/12 更新)#134852
114年 - 11600 電力電子 乙級 工作項目 09:裝備測試與檢修 1-43(2025/12/12 更新)#134852
科目:
技檢◆電力電子-乙級 |
年份:
114年 |
選擇題數:
43 |
申論題數:
0
試卷資訊
所屬科目:
技檢◆電力電子-乙級
選擇題 (43)
1. 變流器(inverter)若藉輸出變壓器與負載隔離,則 (A)變壓器之輸出功率將會增加 (B)變壓器輸出功率將會降低 (C)變壓器之損失將會減少 (D)變壓器之損失將會增加 。
2. 並聯於閘流體之金屬氧化物變阻器(MOV)其作用為 (A)暫態過電壓保護(B)暫態過電流保護 (C)di/dt 抑制 (D)dv/dt 抑制 。
3. 閘流體元件之過載保護應採用 (A)電感器 (B)電容器 (C)積熱型電驛 (D)快速熔絲 。
4. 二極體單相橋式全波整流器之電源為 V
m
sin377t 伏,則平均輸出電壓 Vdc為 (A)2V
m
/π (B)V
m
/π (C)
(D)
。
5. 調變指數(MI)大於 1 之波寬調變稱為 (A)線性調變 (B)雙曲線調變 (C)過調變 (D)指數調變 。
6. 電解電容器在串聯使用時,通常並聯一個電阻,此電阻作用是 (A)降低阻抗 (B)平衡電容器之分壓 (C)直流分路 (D)平衡相角 。
7. 在電路中,若負載電阻等於其戴維寧等效電阻時,則在負載上所承受的功率為 (A)最小 (B)最大 (C)零 (D)不變 。
8. 電磁相容性測試,基本上驗證產品量產上市前是否符合電磁相容規範,下列測試何者不是電磁相容性測試項目? (A)傳導發射(conducted emission,CE)測試 (B)輻射發射(radiated emission, RE)測試 (C)傳導耐受性(conducted susceptibility, CS)測試 (D)產品可靠度(productsreliability)測試 。
9. 下列關於電氣設備之工作安全守則的敘述,何者正確? (A)電氣機械運轉中,如發現有異味及運轉不順等現象時,可繼續工作 (B)拆除或安裝電氣開關之保險絲前,應先切斷電源 (C)電氣保險絲熔斷後,可用鐵絲代替 (D)在修理電氣設備時,不需切斷電源 。
10. 偵測電路上發燙元件,使用下列何種方式最適當? (A)手指頭觸摸 (B)紅外線攝影機拍攝 (C)以鼻子聞 (D)用眼睛看 。
11. 電力電子電路佈線設計時,下列何者不是考量要點? (A)熱處理 (B)美觀設計 (C)雜訊 (D)安全規格 。
12. 下圖為示波器螢幕顯示的波形,示波器的設定為:Time=1ms/DIV;Volts=2V/DIV,下列對量測到的正弦波之敘述,何者正確?
(A)波的週期時間為 4ms;電壓的峰對峰值為 4V (B)波的週期時間為 8ms;電壓的峰對峰值為 8V (C)波的週期時間為 4ms;電壓的峰對峰值為 8V (D)波的週期時間為 8ms;電壓的峰對峰值為 4V 。
13. 電路板上電容故障,其規格為 50V、470uF,若無完全相同電容可更換,替代電容以何者為宜? (A)50V、240uF (B)25V、1000uF (C)25V、660uF (D)100V、470uF 。
14. 作業時,為避免靜電損壞電子零件,最適當的方法是 (A)戴靜電環(接地手環) (B)戴手套 (C)穿無塵衣 (D)噴灑電解液 。
15. 檢查插座是否有電,應用 (A)電表之歐姆檔測阻抗 (B)電表之 ACV 檔測電壓 (C)DCA 檔測電流 (D)用瓦特表測是否有功率 。
16. 下列關於使用電氣延長線應注意事項之敘述,何者正確? (A)延長線的插座不足時,得串聯或分接以增加使用方便性 (B)延長線附近可放置化學物品 (C)延長線不得任意放置在通道上,以免絆倒人員 (D)延長線附近可放置易燃物質 。
17. 下列關於電器插頭的使用敘述,何者正確? (A)電器插頭使用完畢,應先確定插頭已拔下 (B)拔下電器插頭時,可直接拉電線方式拔出 (C)電器插頭不必插牢 (D)電器插頭使用完畢,且暫不使用,不需將電器插頭拔下 。
18. 下列關於電氣手工具之使用其安全考量的敘述,何者正確? (A)電氣手工具不應接地 (B)電氣手工具不需做絕緣 (C)電氣手工具越重越佳 (D)電氣手工具應接地及保持絕緣 。
複選題
19. 量測電感值的裝置有 (A)示波器及交流電源 (B)電感、電容及電阻(LCR)錶 (C)高阻計 (D)電壓錶 。
複選題
20. 將指針型三用電表撥於歐姆(R)檔之 1k 或 10k 位置,測試發光二極體(LED)時,下列哪些現象表示其品質不良? (A)順向電阻無限大、逆向電阻為零 (B)順向與逆向電阻大致相等 (C)順向電阻為低電阻、逆向電阻為高電阻 (D)順向電阻與逆向電阻皆無限大 。
複選題
21. 電磁相容性(EMC)測試涵蓋下列哪幾項試驗方法? (A)傳導發射(CE)(B)輻射發射(RE) (C)傳導耐受性(CS) (D)產品安規 。
複選題
22. 電解電容器的兩條引出線,下列哪些敘述正確? (A)較長的一端為正極 (B)較長的一端為負極 (C)較短的一端為負極 (D)與廠商之製作有關 。
複選題
23. 電力電子轉換電路中,磁性元件是指利用磁能來達到下列哪幾項功能之電子元件? (A)隔離 (B)儲能 (C)散熱 (D)濾波 。
複選題
24. 下列關於國家標準之敘述,哪些正確? (A)JIS 係指英國國家標準 (B)CNS係指中華民國國家標準 (C)DIN 係指德國國家標準 (D)ANSI 係指美國國家標準 。
複選題
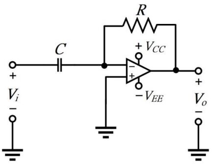
25. 下圖所示電路,下列哪些敘述正確?
(A)該電路為非反相放大器 (B)該電路可做為積分器 (C)該電路可做為微分器 (D)當輸入電壓斜率為正時,輸出為負值 。
複選題
26. 下列哪些元素為 P 型半導體常用的摻雜元素? (A)鎵(Ga) (B)銦(In) (C)銻(Sb) (D)硼(B) 。
複選題
27. 一般互導放大器的設計要求為 (A)高的輸入阻抗 (B)低的輸入阻抗 (C)低的輸出阻抗 (D)高的輸出阻抗 。
複選題
28. 下列關於雙極性接面電晶體之敘述,哪些正確? (A)在飽和區時,能被當做開關使用 (B)在飽和區時,輸出特性幾乎是線性 (C)在飽和區時,βi
B
>i
C
(D)是一個電流控制元件 。
複選題
29. 下列哪些為理想的運算放大器特性? (A)輸出電阻無窮大 (B)開迴路電壓增益無窮大 (C)輸入電阻無窮大 (D)共模拒斥比無窮大 。
複選題
30. 下列關於負回授之敘述,哪些正確? (A)輸出訊號回授到輸入端且被輸入訊號相減 (B)可穩定增益的擾動 (C)可減少電路振盪 (D)可增加頻寬 。
複選題
31. 8 位元類比到數位轉換器其滿刻度電壓為 5V,下列哪些敘述正確? (A)此轉換器的解析度約為 19.6mV/bit (B)其最小電壓變動量為 0.625V (C)其數位輸出共有 256 種變化 (D)其輸出為離散數值 。
複選題
32. 下列關於單相全波橋式整流器之敘述,哪些正確? (A)輸出電壓的漣波頻率為電源頻率的 2 倍 (B)二極體的峰值反向電壓為電源峰值電壓的
倍(C)其輸出電壓平均值約為電源峰值電壓的 0.636 倍 (D)其輸出電壓的漣波因數約為 48.3% 。
複選題
33. 下列關於共集極放大器之敘述,哪些正確? (A)其射極電壓與基極電壓無關 (B)具有高的輸入電阻 (C)具有高的輸出電阻 (D)具有低的輸出電阻 。
複選題
34. 下列關於場效電晶體(FETs)之敘述,哪些正確? (A)其為雙載子元件 (B)其為電壓控制元件 (C)其為單載子元件 (D)其為電流控制元件 。
複選題
35. 下圖所示電路,下列哪些敘述正確?
(A)該電路為非反相放大器 (B)該電路為反相放大器 (C)其閉迴路增益為-1 (D)該電路具有高輸入阻抗及低輸出阻抗 。
複選題
36. 下圖所示電路,下列哪些敘述正確?
(A)該電路可做為積分器 (B)該電路為非反相放大器 (C)該電路可做為微分器 (D)電阻器 R
F
可避免輸出電壓飽和問題 。
複選題
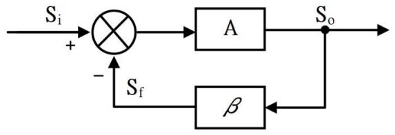
37. 下圖所示回授電路,下列哪些敘述正確?
(A)該電路為負回授電路 (B)該電路為正回授電路 (C)該電路之閉迴路增益為 A/(1-βA) (D)該電路之閉迴路增益為 A/(1+βA) 。
複選題
38. 下圖所示回授電路,下列哪些敘述正確?
(A)該電路的直流增益為 0 (B)該電路的時間常數為 0.01s (C)該電路為高通濾波器 (D)該電路-3dB 頻率為1000rad/s 。
複選題
39. 下列關於二極體逆向飽和電流之敘述,哪些正確? (A)其為少數載子的流動所產生 (B)其大小與接面面積成反比 (C)溫度每上升 10℃,逆向飽和電流就加倍 (D)矽的逆向飽和電流比鍺大 。
複選題
40. 有電路已加入電壓源,判斷其電路的開路及短路,下列哪些正確? (A)開路時,端電壓為零 (B)開路時,流經電路的電流為零 (C)短路時,流經電路電流為零 (D)短路時,端電壓為零 。
複選題
41. 以示波器量測交流負載的端電壓及電流,若電壓與電流相位相差 90,則此負載元件為 (A)電阻 (B)電感 (C)電容 (D)電晶體 。
複選題
42. 某電阻規格 10Ω,250W,下列哪些使用正確? (A)電流需低於 5A (B)電阻的電流需低於 25A (C)電阻的端電壓需低於 50V (D)電阻的端電壓需低於250V 。
複選題
43. 關於量測電路中的電流,下列哪些正確? (A)電路串聯微小電阻,量測其端電壓,再依歐姆定理換算其電流 (B)利用霍爾效應偵測元件之電流偵測器 (C)電路串聯很大電阻,量測其端電壓,再依歐姆定理,換算其電流 (D)電路並聯微小電阻,量測其端電壓,再依歐姆定理,換算其電流 。
申論題 (0)
相關試卷
114年 - 11600 電力電子 乙級 工作項目 08:電力電子系統與應用 101-164(2025/12/12 更新)#134851
114年 · #134851
114年 - 11600 電力電子 乙級 工作項目 08:電力電子系統與應用 51-100(2025/12/12 更新)#134850
114年 · #134850
114年 - 11600 電力電子 乙級 工作項目 08:電力電子系統與應用 1-50(2025/12/12 更新)#134849
114年 · #134849
114年 - 11600 電力電子 乙級 工作項目 07:程式設計與微電腦應用 1-31(2025/12/12 更新)#134848
114年 · #134848
114年 - 11600 電力電子 乙級 工作項目 06:邏輯與數位系統 1-61(2025/12/12 更新)#134847
114年 · #134847
114年 - 11600 電力電子 乙級 工作項目 05:電子學 51-85(2025/12/12 更新)#134846
114年 · #134846
114年 - 11600 電力電子 乙級 工作項目 05:電子學 1-50(2025/12/12 更新)#134845
114年 · #134845
114年 - 11600 電力電子 乙級 工作項目 04:電工學 51-117(2025/12/12 更新)#134843
114年 · #134843
114年 - 11600 電力電子 乙級 工作項目 04:電工學 1-50(2025/12/12 更新)#134842
114年 · #134842
114年 - 11600 電力電子 乙級 工作項目 03:儀表及工具使用 1-42(2025/12/12 更新)#134841
114年 · #134841