阿摩線上測驗
登入
首頁
>
技檢◆電力電子-乙級
> 114年 - 11600 電力電子 乙級 工作項目 08:電力電子系統與應用 51-100(2025/12/12 更新)#134850
114年 - 11600 電力電子 乙級 工作項目 08:電力電子系統與應用 51-100(2025/12/12 更新)#134850
科目:
技檢◆電力電子-乙級 |
年份:
114年 |
選擇題數:
50 |
申論題數:
0
試卷資訊
所屬科目:
技檢◆電力電子-乙級
選擇題 (50)
51. 下列何者不是電流控制型功率開關? (A)矽控閘流體(SCR) (B)金氧半場效電晶體(MOSFET) (C)雙載子接面電晶體(BJT) (D)閘關閘流體(GTO) 。
52. 設計切換式電源轉換器時,下列何者不是用來量測電流的方法? (A)串接電阻(current shunt) (B)比流器(current transformer) (C)霍爾元件(Hallelement) (D)限流電感(current limit inductor) 。
53. 下圖所示電路中,若 V
s
=V
m
sinωt,則 i
D1
的波形為何?
(A)
(B)
(C)
(D)
。
54. 下圖所示電路中,若 V
s
=V
m
sinωt,則 i
D2
的波形為何?
(A)
(B)
(C)
(D)
。
55. 下圖所示電路中,若 V
s
=V
m
sinωt,則 V
D2
的波形為何?
(A)
(B)
(C)
(D)
。
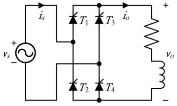
56. 下圖所示電路中,i
o
電流為連續,若正負半波對稱觸發,且(T
1
、T
4
)及(T
2
、T
3
)成對導通,則 v
o
波形可能為何?
(A)
(B)
(C)
(D)
。
57. 下列電力電子轉換器之敘述,何者正確? (A)交流電壓控制器使用功率開關在一固定區間內連接與斷開負載與交流電源,此種電路為 DC-DC 轉換器(B)三相交流電壓控制器之負載可 Y 接或Δ接 (C)切換式 DC-DC 轉換器比線性轉換器效率為低 (D)切換式 DC-DC 轉換器使用的濾波電容器之串聯等效電阻愈大,輸出電壓的漣波愈小 。
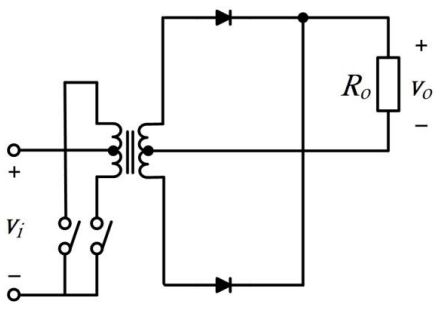
58. 下列功率因數(PF)的定義,何者正確? (A)視在功率/平均功率 (B)視在功率/虛功率 (C)平均功率/視在功率 (D)虛功率/平均功率 。
59. 下圖所示降壓式轉換器,輸入電源電壓為 12V,輸出電壓為 5V,當操作於連續導通模式時,MOSFET 開關導通狀態之責任週期大小為
(A)68.3% (B)50% (C)41.7% (D)33.4% 。
60. 下列何者為一般 SCR 典型的觸發條件? (A)
(B)
(C)
(D)
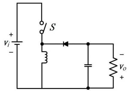
。
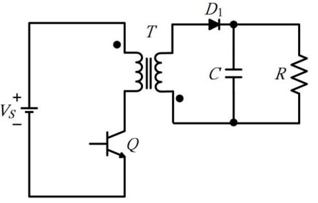
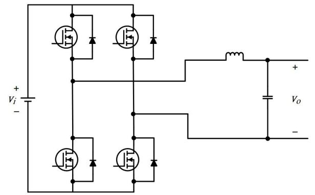
61. 下圖所示電路為何種類型之轉換器?
(A)順向式(forward)轉換器 (B)返馳式(flyback)轉換器 (C)推挽式(push-pull)轉換器 (D)全橋式(full-bridge)轉換器 。
62. 下圖所示為單相逆變換器(inverter)之輸出週期性交流方波電壓 v(t),其總諧波失真率(THD)為
(A)32% (B)36% (C)48% (D)72% 。
63. 下圖所示電路為電阻性負載之單相全控式轉換器,電阻為 10Ω,電源電壓大小為 110V(rms),觸發延遲角為α=π/3,則輸出電壓平均值約為
(A)49.5V (B)74.3V (C)110V (D)148.56V 。
64. 電力電子電路中,使用緩衝電路的優點,下列何者錯誤? (A)減少開關元件的功率損失 (B)增快開關切換速度 (C)保護功率元件 (D)增加開關使用壽命 。
65. 下列何種功率元件容許之運作頻率最高? (A)SCR (B)IGBT (C)MOSFET (D)BJT 。
66. PWM 型直流-直流轉換器,開關元件於一週期內導通時間比例稱為 (A)轉換週期 (B)元件週期 (C)應用週期 (D)責任週期 。
67. PWM 型直流-直流轉換器,開關元件之導通損失與下列何者最無關連? (A)控制迴路參數 (B)負載電流 (C)負載阻抗 (D)開關元件內阻 。
68. 下列何種功率元件容許之運作功率最高? (A)MOSFET (B)GTO (C)IGBT (D)BJT 。
69. 下圖所示電路及相關波形,V
d
為直流電壓,S 為一理想開關,T
s
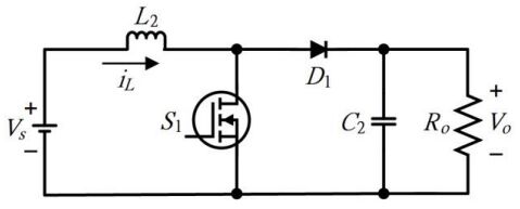
為開關運作週期,t
on
為開關導通時間,t
off
為開關關閉時間,若 t
on
/t
o ff
=3/2,且V
d
=10V,則平均電壓 V
o
=
(A)2V (B)4V (C)6V (D)8V 。
70. 輸出與輸入隔離之電力轉換器,兩接地間往往放置何種元件? (A)電阻器 (B)電感器 (C)二極體 (D)電容器 。
71. 下圖所示之單相半波整流電路,輸出電壓平均值為
(A)0.2Vp (B)0.318Vp (C)0.426Vp (D)0.538Vp 。
72. SCR 可以藉由什麼方式使其關閉? (A)在閘極加上大的正電壓 (B)在閘極加上大的負電壓 (C)在閘極加上大的負脈波電壓 (D)陽極電流中斷 。
73. 閘流體中,可以由閘極激發,也可以由閘極截止的是 (A)SCR (B)GTO (C)TRIAC (D)DIAC 。
74. 改變 DC 分激馬達的速度,下列敘述何者正確? (A)當場電壓增加時,馬達速度增加 (B)當電樞電壓增加時,馬達速度增加 (C)當電樞電壓增加時,馬達速度減少 (D)馬達速度與場電壓無關 。
75. 當所用二極體欲與高速閘流體配合時,應使用 (A)肖特基二極體(Schottkydiode) (B)齊納二極體(Zener diode) (C)整流二極體(rectifier diode) (D)變容二極體(varactor diode) 。
76. 下圖電路為一三相半波整流器,若線電壓為 380V,則負載 R
L
上之平均電壓約為
(A)220V (B)257V (C)380V (D)440V 。
77. 單相橋式全波全控整流器(full converter)共用幾個 SCR? (A)2 個 (B)4 個(C)6 個 (D)8 個 。
78. 單相橋式全波整流器中,若輸入波形之振幅為 V
m
,則截止二極體承受的最大逆偏為 (A)
(B)
(C)V
m
(D)2V
m
。
79. 功率級電晶體做開關之功率轉換器用,下列關於切換頻率之敘述,何者正確? (A)切換頻率高時,則開關的切換損失低 (B)切換頻率高時,若性能一樣,則可增加濾波之電感值或減小電容 (C)切換頻率低時,若性能一樣,則可減少濾波之電感值或增加電容 (D)切換頻率高時,則開關的切換損失高 。
80. 功率級電晶體作開關之切換頻率為 20kHz,則其切換週期為 (A)50μs (B)100μs (C)50ms (D)100ms 。
81. 一般可將直流電轉換為可變電壓、可變頻率之交流電,此功率轉換器為 (A)整流器(rectifier) (B)變頻器(inverter) (C)直流截波器(dc chopper) (D)可控整流器(controlled rectifier) 。
82. 下列關於雙接面電晶體(BJT)做開關元件之敘述,何者正確? (A)做開關使用,其工作於作用區 (B)可用基極電流控制此電晶體之導通與截止狀態 (C)當此電晶體為飽和區操作時,其集-射極之電壓非常高 (D)電晶體之導通接面不會儲存電荷 。
83. 下圖為升壓型直流截波器,其電容 C
o
的主要功能為何?
(A)降低輸出電壓漣波 (B)提高輸出電壓 (C)提高輸出電流 (D)減少輸出電壓 。
84. 下圖為直流-直流功率轉換器,其名稱為
(A)推挽式(push-pull)功率轉換器(B)全橋式(full-bridge)功率轉換器 (C)半橋式(half-bridge)功率轉換器(D)馳返式(flyback)功率轉換器 。
85. 功率轉換器使用脈波寬度調變的英文名詞縮寫為 (A)PWM (B)PAM (C)PMW(D)PMA 。
86. 下圖直流功率轉換器的主要功能為何?
(A)只能降壓用 (B)整流用 (C)具有升壓及降壓功能 (D)具有交流電壓輸出 。
87. 下列關於變頻器(inverter)之弦式脈波寬度調變(sinusoidal pulse-widthmodulation)之敘述,何者正確? (A)減少輸出電壓之低次諧波含量 (B)增加輸出電壓之低次諧波含量 (C)調變波為弦波命令與載波之方波做比較 (D)調變波為方波命令與載波之三角波做比較 。
88. 降壓型直流截波器(buck dc chopper)的功率級電晶體開關導通的責任週期為 0.4;若此開關的切換頻率為 10kHz,則此功率級電晶體的每週期之導通時間為 (A)100μs (B)60μs (C)50μs (D)40μs 。
89. 升壓型直流截波器(boost dc chopper)之功率級 MOSFET 的導通責任週期為 0.5,若輸入電壓 V
i
的平均值為 10V,則輸出電壓 V
o
的平均值約為(A)5V (B)10V (C)15V (D)20V 。
90. 下圖為直流-直流功率轉換器,其名稱為
(A)全橋型(full-bridge)直流-直流功率轉換器 (B)半橋型(half-bridge)直流-直流功率轉換器 (C)推挽型(push-pull)直流-直流功率轉換器 (D)馳返型(flyback)直流-直流功率轉換器 。
91. 某三相全橋式二極體整流器其三相電源頻率為 60Hz,則該整流器的直流輸出電壓漣波頻率為 (A)60Hz (B)120Hz (C)300Hz (D)360Hz 。
92. 下列關於單相全橋式二極體整流器之直流鏈電容的敘述,何者正確? (A)直流鏈電容愈大,濾波效果差 (B)直流鏈電容愈大,單相輸入功因愈高 (C)直流鏈電容愈大,濾波效果愈佳 (D)直流鏈電容愈大,瞬時充電電流小 。
93. 下圖為單相變頻器(single-phase inverter),其上、下臂之 MOSFET 驅動電路需有盲時(dead-time),下列敘述何者正確?
(A)防止上、下臂之MOSFET 瞬時發生短路 (B)增加電壓輸出 (C)增加功率輸出 (D)增加電流輸出 。
94. 降壓型直流截波器(buck dc chopper)在電流為連續模式下操作,下列關於電感電流之敘述,何者正確? (A)電感電流之峰對峰值與切換頻率成正比(B)電感電流之峰對峰值與電感值成正比 (C)電感電流之峰對峰值與切換頻率無關 (D)電感電流之峰對峰值與電感值成反比 。
95. 下列關於 GTO(gate turn-off thyristor)之敘述,何者正確? (A)閘極電流可做導通狀態操作控制,但無法做截止狀態控制 (B)閘極電流可做導通狀態操作控制,亦可做截止狀態控制 (C)閘極電流不能做導通狀態操作控制,但可做截止狀態控制 (D)閘極電流不能做導通及截止狀態操作控制 。
複選題
96. 使用雙極性接面電晶體做線性電壓調節器操作時,下列哪些正確? (A)電晶體操作於作用區 (B)電晶體操作於飽和區 (C)電晶體做為可變電阻操作 (D)電晶體操作於截止區 。
複選題
97. 線性調節器與切換型轉換器的比較,下列哪些正確? (A)線性調節器的效率較高 (B)切換型轉換器的效率較高 (C)切換型轉換器的體積較小 (D)線性調節器的輸出電壓漣波較低 。
複選題
98. 下圖為降壓型轉換器的電路,下列哪些正確?
(A)功率電晶體(MOSFET)S
1
工作於作用區 (B)功率電晶體(MOSFET)S
1
工作於歐姆區或截止區 (C)二極體 D
1
可做電感電流飛輪用 (D)電容 C
1
做為輸出電壓的濾波及穩壓使用 。
複選題
99. 升壓型轉換器如下圖,若 f
s
為 S
1
的切換頻率,d
1
為 S
1
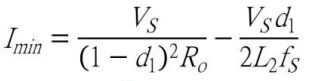
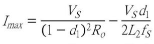
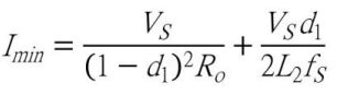
導通的責任週期,ΔiL為電感電流峰對峰值。在電感電流連續操作之電感電流最大值 I
max
及電感電流最小值 I
min
為
(A)
(B)
(C)
(D)
。
複選題
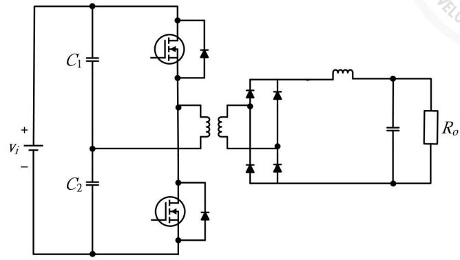
100. 下列關於升壓型轉換器之敘述,哪些正確? (A)輸出電壓高於輸入電壓 (B)輸出電壓低於輸入電壓 (C)電感越小,其電感電流越容易連續 (D)電感越大,其電感電流越容易連續 。
申論題 (0)
相關試卷
114年 - 11600 電力電子 乙級 工作項目 09:裝備測試與檢修 1-43(2025/12/12 更新)#134852
114年 · #134852
114年 - 11600 電力電子 乙級 工作項目 08:電力電子系統與應用 101-164(2025/12/12 更新)#134851
114年 · #134851
114年 - 11600 電力電子 乙級 工作項目 08:電力電子系統與應用 1-50(2025/12/12 更新)#134849
114年 · #134849
114年 - 11600 電力電子 乙級 工作項目 07:程式設計與微電腦應用 1-31(2025/12/12 更新)#134848
114年 · #134848
114年 - 11600 電力電子 乙級 工作項目 06:邏輯與數位系統 1-61(2025/12/12 更新)#134847
114年 · #134847
114年 - 11600 電力電子 乙級 工作項目 05:電子學 51-85(2025/12/12 更新)#134846
114年 · #134846
114年 - 11600 電力電子 乙級 工作項目 05:電子學 1-50(2025/12/12 更新)#134845
114年 · #134845
114年 - 11600 電力電子 乙級 工作項目 04:電工學 51-117(2025/12/12 更新)#134843
114年 · #134843
114年 - 11600 電力電子 乙級 工作項目 04:電工學 1-50(2025/12/12 更新)#134842
114年 · #134842
114年 - 11600 電力電子 乙級 工作項目 03:儀表及工具使用 1-42(2025/12/12 更新)#134841
114年 · #134841