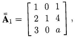
(i) (15 %) Let
with r singular values
Ur= [u1,⋯,ur]
consisting of the associated r left singular vectors and Vr= [v1,⋯,vr]
consisting of the associated r right singular vectors.
(1) Find the range space (i.e., column space) of A, denoted as R(A), and the row space of A (i.e., R(AT)) where AT denotes the transpose of A ;
(2) find the projection matrix PA such that
and
;
(3) find the eignevalues and eigenvectors of AAT.