複選題
8、Let V together with the inner product (•, •) v be an inner product space over R. For a
collection of N linearly independent vectors {w1, ..., wN} in V, let M = [mi,,j] ∈RN✖ Nbe
the corresponding Gram matrix, i.e., the (i, j)-th entry of M is given by m{i,,j} = (wi, wj)V.
Define the following set of real-valued functions f: V→R

which is a vector space over R when combined with standard addition and scalar multiplica-
tion of real-valued functions. For any
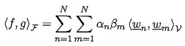
in the vector space F, define

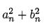
Which of the following statements is/are true?(A) M is positive definite.(B) If m1,1 = 2, m2,2 = 1, and m1,2 = -
, then ||w1 - w2||V = 4, where ||\cdot||_V is the vector norm induced by the inner product(•, •) v.(C) (f, g)F is an inner product for elements f, g∈ F.(D) Given g(y) = (v1, y)V, we have (f, g)F = f(w1) for all f∈ F.
(E) None of the above is true.