阿摩線上測驗 登入

110年 - 110 國立臺北科技大學_碩士班招生考試_機械工程系機電整合碩士班:工程數學#107430

科目:研究所、轉學考(插大)◆工程數學 | 年份:110年 | 選擇題數:0 | 申論題數:7

試卷資訊

所屬科目:研究所、轉學考(插大)◆工程數學

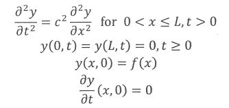
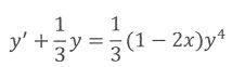
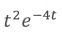
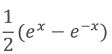
選擇題 (0)