所屬科目:研究所、轉學考(插大)◆工程數學
Problem 1. (10 %) Given a matrix where a is a real number. Find the ran;: of and give the corresponding range of a.
(ii) (5 %) Show that there exists a matrix, which is similar to the matrix in the Jordon form, i.e.,
(ii) find the projection matrix PA such that R(A) =;
(i) Is Tr(AX) ≥ 0 true?
(ii) Is it true that if Tr(AX) = 0, then AX = 0 (zero matrix)? Prove or disprove your answer.
(a) (5%) the first-order ODE:
(b) (5%) the second-order ODE:
(a) (5%) f(x)=x2,-π≤x≤π, f(x+m2π) = f(x),m Z.
(b)(5%) f(x)={1,-1≤x≤1, 0,<-1;x>1
Problem 6. (5 %) Use Laplace transform to solve the following differential equation:
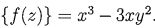
(a) (5%) Assume that Re Find the imaginary part Im{f(z)} so that f(z) is analytic for all.
(b) (4%) Find the 'Taylor series expansion of f(z) about the point z = 0; that is, find the coeffcients such that in a certain neighborhood of x = 0.
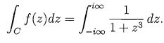
(d) (5%) Let C denote the path along the y axis from -∞ to ∞. Calculate f(z)dz; i.e., evaluate the following integral: