所屬科目:研究所、轉學考(插大)◆工程數學
3. Solve the differential equation (15%)
4. Solve the initial value problem by using the Laplace transform. (15%) y"-4y'+4y=f(t);y(0)=-2,y'(0)=1, with
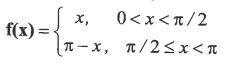
5. Please find the half-range cosine and sine expansions of the given function.(15%)
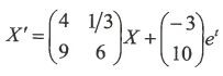
6. Please use the method of undetermined coefficients to solve the given system. (15%)
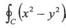
7. Evaluateds,where C is given by x=6cos(t) y=6sin(t),0 ≤t≤2π. (10%)
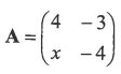
8. Find a value of x which the matrix is its own inverse. (10%)