複選題
8. Let V together with the inner product (‧,‧)y be an inner product space over
. For a
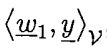
collection of N linearly independent vectors [w1 ,...,
] in V, let M =
be
the corresponding Gram matrix, i.e, the (i, j)-th entry of M is given by 
Define the following set of real-valued functions f : V →

which is a vector space over
when combined with standard addition and scalar multiplica-
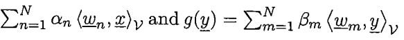
M= 1.8m (2m,3)v tion of real-valued functions. For any f( x ) = 
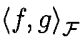
in the vector space F, define

Which of the following statements is/are true?(A) M is positive definite.(B) If m1,1 = 2, m2,2 = 1, and m1,2 = -
, then
is the vector norm induced by the inner product
.(C) (f,g)s is an inner product for elements f,g ∈ F.(D) Given g(y) =
, we have
= f(ω1) for all f ∈ F.
(E) None of the above is true.
<f(z) =