阿摩線上測驗
登入
首頁
>
工程統計學與品質管制概要
> 110年 - 110 高等考試_三級_工業工程:工程統計學與品質管制#102667
110年 - 110 高等考試_三級_工業工程:工程統計學與品質管制#102667
科目:
工程統計學與品質管制概要 |
年份:
110年 |
選擇題數:
0 |
申論題數:
9
試卷資訊
所屬科目:
工程統計學與品質管制概要
選擇題 (0)
申論題 (9)
一、在某次考試中,學生 A 的統計科目成績為 63 分,微積分科目成績為 85 分。而統計科目全班 50 人的平均分數為 51 分,標準差 9 分;微積分科 目全班 50 人的平均分數為 72 分,標準差為 11 分,兩科目考試的考生 為同一群人,請問同學 A 在那一科表現較好?其原因為何?
二、某工廠宣稱其生產線上之某機台不良率小於 5%。某天從該機台隨機採 樣 100 個產品,檢測後其中有 4 個不良品,根據此採樣結果可否支持工 廠的宣稱為真。(α= 0.01)
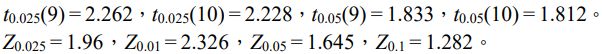
其中,
。
三、若從某一生產線上選取 10 個產品進行產品壽命測試,其數據如下(單 位:小時):
60 55 58 72 81 56 62 68 53 61 假設產品壽命呈現常態分配,試求其產品壽命平均數之 95%信賴區間。 ) 其中,
(一)當不良率為 AQL 時,其允收機率 Pa 為何?(以 Poisson 求之)
(二)當不良率為 LTPD 時,其允收機率 Pa 為何?(以 Poisson 求之)
(一)本調查的樣本為何(sample)?
(二)本調查的樣本數為何(the number of samples)?
(三)本調查的觀察變數為何(variable of interest)?
(四)本調查的母體為何(population)?