阿摩線上測驗
登入
首頁
>
技檢◆氣壓-乙級
> 114年 - 08000 氣壓 乙級 工作項目 06:維修 1-50(2025/12/03 更新)#134174
114年 - 08000 氣壓 乙級 工作項目 06:維修 1-50(2025/12/03 更新)#134174
科目:
技檢◆氣壓-乙級 |
年份:
114年 |
選擇題數:
50 |
申論題數:
0
試卷資訊
所屬科目:
技檢◆氣壓-乙級
選擇題 (50)
1. 氣油壓轉換器中,如果液壓油內含有氣泡,可能會使氣壓缸 (A)出力減小(B)出力增大 (C)速度增高 (D)速度不穩定 。
2. 如下圖,利用單向流量控制閥及氣壓操作彈簧回位一常開式 3/2 閥組合,可得到
(A)X 輸入訊號(壓力)延後一段時間才開啟 A 輸出訊號(壓力) (B)X 輸入訊號(壓力)延後一段時間才切斷 A 輸出訊號(壓力)(C)切斷 X 輸入訊號(壓力)後,延一段時間才開啟 A 輸出訊號(壓力)(D)切斷 X 輸入訊號(壓力)後,延一段時間才切斷 A 輸出訊號功能 。
3. 延時時間設定調整的延時閥,如果輸入訊號端的壓力降低,則 (A)延時時間不變 (B)延時時間延長 (C)延時時間縮短 (D)延時時間不定(可能延長或縮短) 。
4. 壓縮機在傳動功率超過多少時,需裝配水循環的冷卻裝置﹖ (A)10KW (B)20KW (C)30KW (D)40KW 。
5. 給油器滴油窗內的水滴,是如何產生? (A)潤滑油內含水份析出 (B)水蒸氣因露點降低而凝結成水滴 (C)由外部滲入 (D)高速流動使水份黏附在滴油窗 。
6. 一般氣體的壓力隨溫度升高而 (A)減小 (B)增加 (C)不變 (D)無關 。
7. 下圖引導式止回閥,何者敘述正確?
(A)控制時氣流方向不需考慮 (B)功能與一般止回閥相同 (C)Z 是排氣口 (D)當 Z 之壓力信號達到一設定值時,B 之氣流流向 A 。
8. 常壓直動式電磁閥,最低操作壓力為 (A)0bar (B)1bar (C)2bar (D)3bar 。
9. 內徑 16 厘米的雙動氣壓缸,在 5bar 下,理論出力約為 (A)5 公斤 (B)8 公斤 (C)10 公斤 (D)12 公斤 。
10. 氣壓量規,須使用的空氣過濾器,濾心應小於 (A)40 微米 (B)26 微米 (C)5微米 (D)0.1 微米 。
11. 多缸氣壓系統中,某一特定氣壓缸經常損壞,其最大主因為 (A)壓力太高(B)潤滑不足 (C)安裝不良 (D)缸徑太小 。
12. 壓縮機於運轉時,壓縮比和輸出空氣溫度之關係為何? (A)壓縮比愈高,輸出空氣溫度愈低 (B)壓縮比愈低,輸出空氣溫度愈高 (C)壓縮比愈高,輸出空氣溫度愈高 (D)壓縮比和輸出空氣溫度無關 。
13. 壓縮機於運轉時,吸入空氣量 Q 與輸出空氣溫度 T 間有何關係? (A)Q 降低,T 昇高 (B)Q 昇高,T 降低 (C)Q 昇高,T 昇高 (D)Q 及 T 之間無關 。
14. 抑制止回閥之振動應該 (A)增加壓力 (B)增加流量 (C)降低壓力 (D)升高溫度 。
15. 減壓閥之一次壓管路阻流大時 (A)影響二次壓力變動 (B)不影響二次壓力變動 (C)減壓閥流量特性變化 (D)減壓閥產生洩氣 。
16. 氣壓機器使用一段時間,若發現方向閥切換使氣壓缸活塞桿移動一段距離後,負荷 w 才移動,請問原因為 (A)活塞桿變形 (B)控制管路膨脹 (C)繩索受負荷而伸長 (D)速度控制閥性能劣化 。
17. 活塞型氣壓振動器與控制閥中間的管路距離 (A)沒有限制 (B)依需要決定(C)不超過 5 米 (D)不可超過 10 米 。
18. 過濾器的濾心,檢修時可用 (A)煤油 (B)去漬油 (C)清水 (D)煤油浸泡後用肥皂水 清洗。
19. 單向節流閥在機械上按裝時,應注意 (A)空氣壓力 (B)周遭溫度 (C)閥門的方向 (D)工作方便 。
20. 電磁閥中,所謂 ISO 規格係指 (A)流量的大小 (B)動作的頻率 (C)壽命的保證 (D)按裝的型式 。
21. 氣壓缸中,所謂 ISO 規格係表示 (A)氣壓缸的出力 (B)內部缸體的結構 (C)外型尺寸 (D)材料的規定 。
22. 氣壓缸更換修理包組立時,應 (A)加潤滑油 (B)保持清潔 (C)加特殊油脂 (D)加一般黃油即可 。
23. 空氣調理組之使用周圍溫度不可超過 (A)50℃ (B)70℃ (C)80℃ (D)90℃ 。
24. 節流閥若無法有效控制氣壓缸的速度,應 (A)立即更換 (B)檢查氣缸是否漏氣 (C)檢查閥門是否損壞 (D)檢查壓力是否足夠 。
25. 一般文氏管真空產生器所能達到的最高真空度,為完全真空的 (A)80% (B)90% (C)95% (D)100% 。
26. 氣壓系統在檢修時,應保持空氣壓力在 (A)1 大氣壓 (B)2 大氣壓 (C)3 大氣壓 (D)4 大氣壓 。
27. 空氣調理組所造成氣壓的壓力降(△P),超過下列何者壓力時即應檢修?(A)△P=5% (B)△P=0.5 (C)△P=10% (D)△P=1 大氣壓。
28. 在閥的入口、出口壓力差為 1PSI(0.07kgf/cm
2
),以 60℉(15℃)的清水通過閥而流出時,每分鐘所流出的水量,以美制加侖為單位所測定之值稱為 (A)Av (B)Kv (C)Zv (D)Cv 值。
29. 氣壓延時閥設定時間是調整它的 (A)節流閥 (B)蓄氣室 (C)止回閥 (D)控制閥 。
30. 預設計數器之 Y 通口,一般是做為 (A)減數 (B)氣源 (C)手動歸零 (D)氣動歸零 。
31. 電磁閥的流量與下列何者無關? (A)進氣壓力 (B)Cv 值 (C)接口尺寸 (D)空氣溫度 。
32. 一電磁閥額定電壓為 AC220V,消耗電力為 8 伏安,欲作動電磁閥,電流至少約須 (A)0.02A (B)0.03A (C)0.04A (D)0.05A 。
33. 標準狀態空氣是指 (A)溫度 4℃,絕對壓力 760mmHg,相對濕度 65% (B)溫度 20℃,絕對壓力 760mmHg,相對濕度 65% (C)溫度 10℃,絕對壓力 750mmHg,相對濕度 65% (D)溫度 20℃,絕對壓力 750mmHg,相對濕度 65% 的空氣。
34. 輸出空氣壓力在何範圍間稱為鼓風機? (A)1bar 以上 (B)0.1~1bar (C)0.1bar 以下 (D)0.1~0.05bar 。
35. 不含油份的壓縮空氣,適用於保持清潔的造紙、食品、醫藥等工業的壓縮機型式為 (A)鼓膜式活塞壓縮機 (B)滑動葉片式壓縮機 (C)徑流式壓縮機(D)軸流式壓縮機 。
36. 壓縮機輸出量為 20m
3
/minA.N.R,允許壓差△P=1bar,每小時之斷續循環次數 Z=20,則蓄氣筒之需求大小為 (A)5m
3
(B)10m
3
(C)15 m
3
(D)20m
3
。
37. 壓縮空氣乾燥方法中,那一種最簡單? (A)吸收乾燥 (B)吸附乾燥 (C)低溫乾燥 (D)加熱乾燥 。
38. 壓縮空氣吸附乾燥方法中,所使用的乾燥劑,下列何者不可使用? (A)矽化膠 (B)活性氧化鋁 (C)活性碳 (D)乾沙 。
39. 氣壓系統中,調理組之加油霧器不必具備下列何種條件? (A)操作簡單(B)加油霧器出口必須產生精細油霧 (C)加油器不須完全自動 (D)給油量須配合空氣量調整 。
40. 配氣管路安裝須注意事項,下列何者錯誤? (A)管路避免安裝在狹窄的溝槽內 (B)水平方向管路中的分歧管路從主配氣管的中部接出 (C)主配氣管路在順空氣流動方向有 1~2%的向下傾斜 (D)主配氣管入口須設空氣過濾器 。
41. 有關氣壓缸空氣消耗量,下列敘述何者錯誤? (A)消耗量與行程成正比(B)消耗量與缸筒內徑成反比 (C)消耗量與壓縮比成正比 (D)每分鐘作動次數成正比 。
42. 消音器的功能是 (A)升高氣體之流量 (B)增加排出氣體流量 (C)降低排氣速度 (D)節流作用 。
43. 繼電器 3P 型線圈的接腳編號為 (A)9 和 10 (B)1 和 2 (C)10 和 11 (D)11 和12 。
44. 電磁線圈的絕緣種類分 (A)A.B.C.D.E (B)A.B.D.E.H (C)A.B.E.F.H (D)H.I.J.K.L 等五種。
45. 為了使氣壓軟管接頭鎖上後外觀平整,不會高低不平,應採用 (A)PT (B)NPT (C)PVC (D)PF 的螺牙規格。
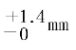
46. 標準氣壓缸行程 250mm 的行程,其公差為 (A)
(B)
(C)
(D)
。
47. 冷凍式乾燥機的露點調得太低,會發生哪種問題? (A)氣管內壁產生凝結水 (B)氣管內外壁都產生凝結水 (C)氣管外壁有凝結水滴 (D)氣管有無凝結水滴與此無關 。
48. 若氣壓主幹管內部出現凝結水,冷凍乾燥機宜 (A)調高出氣量 (B)調高進氣量 (C)調低進氣壓力 (D)調低露點溫度 。
49. 欲提高減壓閥的壓力敏感度,使能敏銳反應微弱壓力變化,採用下列何者無效? (A)增加感壓膜片面積 (B)降低調壓彈簧彈性係數 (C)更換調壓旋鈕 (D)降低頂軸截面積 。
50. 要如何改善減壓閥因機械慣性導致的不感現象? (A)在頂軸的頭端切十字紋淺溝 (B)提高調壓彈簧的彈性係數 (C)增大感壓膜片面積 (D)頂軸的截面積加大 。
申論題 (0)
相關試卷
114年 - 08000 氣壓 乙級 工作項目 06:維修 51-78(2025/12/03 更新)#134175
114年 · #134175
114年 - 08000 氣壓 乙級 工作項目 05:裝配、運轉與調整 51-99(2025/12/03 更新)#134173
114年 · #134173
114年 - 08000 氣壓 乙級 工作項目 05:裝配、運轉與調整 1-50(2025/12/03 更新)#134172
114年 · #134172
114年 - 08000 氣壓 乙級 工作項目 04:設計 201-259(2025/12/03 更新)#134171
114年 · #134171
114年 - 08000 氣壓 乙級 工作項目 04:設計 151-200(2025/12/03 更新)#134170
114年 · #134170
114年 - 08000 氣壓 乙級 工作項目 04:設計 101-150(2025/12/03 更新)#134169
114年 · #134169
114年 - 08000 氣壓 乙級 工作項目 04:設計 51-100(2025/12/03 更新)#134168
114年 · #134168
114年 - 08000 氣壓 乙級 工作項目 04:設計 1-50(2025/12/03 更新)#134167
114年 · #134167
114年 - 08000 氣壓 乙級 工作項目 03:儀表及工具使用 101-162(2025/12/03 更新)#134166
114年 · #134166
114年 - 08000 氣壓 乙級 工作項目 03:儀表及工具使用 51-100(2025/12/03 更新)#134165
114年 · #134165