所屬科目:應用數學(包括微積分、微分方程與向量分析)
(一)算出在這力場下將粒子從點 A= (0,0,0) 移至點 B= (1,1,1) 沿著路徑L= {(t ,t2 ,t3 ): ∈ [0,1]}所做的功。 (10 分)
(二)承上題,請說明在這力場下將粒子從點移至點所做的功與路徑無關(請詳述理由) 。(15 分)
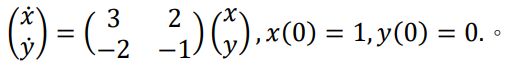
二、求下列微分方程初始值問題的解:(25 分)
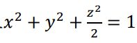
三、求函數f (x ,y ,z ) =xyz 在橢圓面上的最大值及最小值。(25 分)
四、計算雙重積分。(10 分)
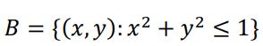
五、令 ( 單 位 圓 ), 利 用 散 度 定 理 ( divergence theorem)算出∫∫B (3x2 +4y3 )dxdy 。(15 分)