所屬科目:結構分析(包括材料力學與結構學)
一、下圖顯示一根受拉鋼棒之單軸應力-應變曲線。根據試驗結果得知,鋼材之楊氏係數 =200 GPa,降伏強度σ =300 MPa。(一)請寫出圖中空格(i) ~ (v)正確名稱,並解釋其意義。
⑴彈性(可回復)應變
⑵塑性(不可回復)應變
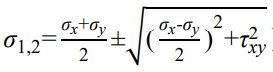
二、如圖所示,一鋼梁表面上 C 點處之應力為:
= − 20 MPa, = 4 MPa, = − 18 MPa
請求出圖示應力元素之主應力與面內最大剪應力之值與方位,並繪製圖形表示。
(提示: )
(一)試繪出該梁之剪力圖與彎矩圖。
(二)在不計自重之情況下,且已知材料之容許彎曲正向應力為10 MPa,容許剪應力為0.8 MPa,試求為確保梁之強度符合安全要求時,其矩形斷面寬度 b 應取為何值?
(一)鉸支承 A 端之傾角。
(二)自由端 C 之垂直位移。