所屬科目:自動控制學
一、考慮下圖簡化的電動車四分之一模型(Quarter car model)加上車輪,車體 部分(含馬達、驅動器、電池、輪軸等)的質量為 mc,車輪的質量為 mw, 車輪含輪軸、馬達轉子對輪軸的轉動慣量為 I w ,考慮車輪只有滾動無滑 動,請推導從馬達輸出扭力(τ m )到車輛速度( v )之間的系統方程式。 (20 分)
二、請推導下示方塊圖的轉移函數(Transfer function) 。(20 分)
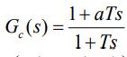
五、圖示為一系統的尼可圖(Nichols plot) ,可看出此系統幾乎沒有邊際相位 (Phase margin), 吾 人 想 要 設 計 一 個 相 位 提 前 補 償 器 ( Phase-lead compensator ) 來提升系統的邊際相位,請設計一個可以提供到 45°相角( Phase lead ) 的 相 位 提 前 補 償 器 , 並 將 最 大 的 相 角 置 於 頻 率 為 1.21 rad/sec 處。 (20 分)