所屬科目:研究所、轉學考(插大)-微積分
1. (A) x = -1 為f(x)的不連續點。 (B) x = 2 為f(x)的不連續點。 (C)(D)
2. (A) x = 0 是f(x)的一個零根,即f(0) = 0。 (B) 在區間 3 ≤ x ≤ 4,必存在一個零根。 (C) 在區間 -1 ≤ x ≤ 0,f(x)為遞增,且必存在一個零根。 (D) 在區間 2 ≤ x ≤ 3,f(x)為遞增,且f(x)恆為負數。
3. (A) f(x)在 x = 0 與 x = 3 兩點有局部極大值。 (B) f(x)在 x = 4 有局部極大值。 (C) f(x)在區間 3 ≤ x ≤ 4 有局部極小值。 (D) 為正無窮大。
4. (A) 在區間 3 ≤ x ≤ 4 中,f(x) 有一反曲點。 (B) x = 0 是 f(x) 的一個反曲點。 (C) x = 2 是 f(x) 的一個反曲點。 (D) x = -1 是 f(x) 的一個反曲點。
5. (A) (B) (C) 對所有 x > 0, (ln x)4= 4 ln x。 (D)
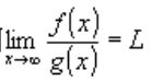
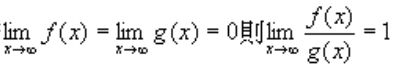
6. (A) 若 (B) (C) 若 f(x), g(x) 皆為可微分函數,且,則。 (D) 若 且 則
7. (A) 當 P >= 1 時, 收斂。 (B) 當 P > 0 時,發散。(C) 當 P <= 1 時,收斂。 (D) 發散。
8. (A) 若向量之長度均為 1,(即 = 1),則= 1。 若向量 = (a1, a2, a3) 在平面 b₁x + b₂y + b₃z = 0 之上,則平行,b = (b₁, b₂, b₃)。 (B) (b1, b2, b3) (C) 方程式 5x + y = 1 代表三度空間中的一個平面。 (D) 方程式 定義出三度空間中的一條線,該線穿過點 (-1, 2, -5) 且與向量 (2, 4, 6) 互相垂直。
9. 考慮三個向量=(1, 0, -1), = (0, 8, 0), = (-1, 2, -3) (A) 以為邊所形成之平行四邊型的面積為4√2。 (B) 以為三邊所形成之平行六面體的體積為64 (C) = (-16, -16, -16) (D) 互相垂直
10. 以下四個圖與所對應的方程式, 何者為錯。 (A) (B) (C)(D)
壹、是非題1. 圖一中, f(x)=-1,但f(2)=-2。(A)O(B)X
2. 圖一中, ,但f(X)在x=3處是連續的。(A)O(B)X
3. 圖一中,當x逼近於-2,及逼近於4時,函數f(x)的極限皆不存在。(A)O(B)X
4. 圖一中,f(x)=0且在x=1附近,f(x)為可微分函數。(A)O(B)X
5. 連續函數不一定是可微分函數,但可微分函數必為連續函數。(A)O(B)X
6. 若兩函數f(x)與g(x)對所有x皆滿足 f'(x) = g'(x),則f(x)=g(x)對所有x皆成立。(A)O(B)X
7. 若.(A)O(B)X
8. 代表f(x) = sin x在x = π/2處的微分(A)O(B)X
9. 考慮二數列,若存在,則存在,且 (A)O(B)X
10. 若唯一遞減數列(即= 0,1,2,...) 且= 0,1,2,...,則必為一收斂數列。(A)O(B)X
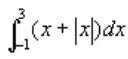
參. 計算題1. (1.)
(2.)
(3.)
(4.)
2. 使用積分方法找出當 x 在 [-1/2, 1] 區間內由兩個函數 y=x³ 及 y=x 所圍成的區 域之面積。
3. (1) 描述微積分基本定理 (Fundamental theorem of Calculus.)
(2) 令 , 找出 。試問你使用了什麼法則或原理找到了答案。
4. 找出雙曲線 X²-y²=1 上之座標點, 使函數 f(x,y)=x²+(y-2)² 為最小值 (minimum)。
5. 若有一運動物體, 其在時間 t 之位置為
x(t)=1-cost, y(t) = t - sint.
試找出此一物體由時間 t=0 到時間 t = 2π 所行經路徑之總長。(提示: 1-cos2θ = 2sin²θ)