阿摩線上測驗
登入
首頁
>
試驗設計
> 95年 - 95 原住民族特種考試_三等_農業技術:試驗設計#38603
95年 - 95 原住民族特種考試_三等_農業技術:試驗設計#38603
科目:
試驗設計 |
年份:
95年 |
選擇題數:
0 |
申論題數:
10
試卷資訊
所屬科目:
試驗設計
選擇題 (0)
申論題 (10)
⑴圖中之實心點‧為實際觀測之資料,虛線…為以回歸分析方法配適所得的回歸 線,其顯示出下降之趨勢。請問此回歸線之斜率是正值或是負值?(10 分) 註:領地的優劣是屬於等級資料,並不適合做正式的回歸分析,此處僅以回歸 線顯示其趨勢而已。
⑵上述趨勢顯示體型大的蜻蜓佔有較差的領地或是佔有較佳的領地?(15 分) (請接第二頁)
⑴請問平均值與標準差顯示出何種訊息?(15 分)
⑵請問如何解讀變方分析表?(10 分) (註:請參照平均值表解讀變方分析表)
⑴請根據試驗資料表判定此試驗可能使用何種設計?(8 分)
⑵請說明交感圖顯示的訊息。(8 分)
⑶請詮釋變方分析表所顯示的分析結果。(9 分) (請接第四頁)
⑴請計算每片葉片上的「平均紅蜘蛛個數」(mean red mites)。(8 分) 註: ∑ f
i
× y
i
= 171, ∑ f
i
= 150 。
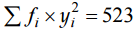
【已刪除】 ⑵請計算每片葉片上紅蜘蛛個數的變方(variance)。(8 分)
註:
。
【已刪除】 ⑶我們根據 Karl Pearson 的卡方檢定統計量檢測:紅蜘蛛的分布是否呈現「卜瓦 松」分布
妳(你)的結論是「符合」或是「違背」卡方分布?(9 分)
相關試卷
114年 - 114 地方政府公務特種考試_三等_農業技術:試驗設計#134716
114年 · #134716
114年 - 114 專技高考_農藝技師:試驗設計#133681
114年 · #133681
114年 - 114 公務升官等考試_薦任_農業技術:試驗設計#133253
114年 · #133253
114年 - 114 高等考試_二級_農業技術:試驗設計#131566
114年 · #131566
114年 - 114 原住民族特種考試_三等_農業技術:試驗設計#130951
114年 · #130951
114年 - 114 高等考試_三級_農業技術:試驗設計#128714
114年 · #128714
113年 - 113 地方政府公務特種考試_三等_農業技術:試驗設計#124510
113年 · #124510
113年 - 113 專技高考_農藝技師:試驗設計#123930
113年 · #123930
113年 - 113 高等考試_二級_農業技術:試驗設計#123074
113年 · #123074
113年 - 113 原住民族特種考試_三等_農業技術:試驗設計#122671
113年 · #122671