阿摩線上測驗
登入
首頁
>
二技統測◆食品技術類◆(一)生物化學
> 96年 - 96 二技統測_食品技術類_專業科目(一):生物化學#24660
96年 - 96 二技統測_食品技術類_專業科目(一):生物化學#24660
科目:
二技統測◆食品技術類◆(一)生物化學 |
年份:
96年 |
選擇題數:
50 |
申論題數:
0
試卷資訊
所屬科目:
二技統測◆食品技術類◆(一)生物化學
選擇題 (50)
1.蛋白質結構中胺基酸殘基的排列順序是屬於下列何種結構? (A)—級 (B)二級 (C)三級 (D)四級
2. A溶液的pH爲7,B溶液的pH爲6,則A溶液的H+濃度爲B溶液的幾倍? (A)1/10 (B) 6/7 (C) 7/6 (D) 10
3.下列何者爲細胞主要之能量攜帶者? (A)CTP (B) TTP (C) ATP (D) UTP
4.下列何種維生素可由膽固醇衍生而來? (A)A (B) D (C) E (D) K
5.甲蟲外骨骼主要是屬於下列何種生物分子結構? (A)纖維素(cellulose) (B)玻尿酸(hyaluronate) (C)角質素(keratin) (D)幾丁質(chiyin)
6.下列何者是含有鐵(Ⅱ)的生物分子結構? (A)葉綠素 (B)血基質(C)輔酶Q (D)膽固醇
7.下列各種單醣分子者爲己酮醣(ketohexose)? (A)核酮糖 (B)核糖(C)果糖(D)葡萄糖 .
8.下列何者不是一般蛋白質轉譯作用(translation)的終止密碼子(stopcodon)? (A)AUG (B) UAA (C) UGA (D) UAG
9.肝醣是由下列何種單醣所形成的聚合物? (A)α-D-葡萄糖(B) β-D-葡萄糖(C)α-D-葡萄糖胺(D)β-D-葡萄糖胺
10.下列何者爲胺基酸分解代謝的第一個反應步驟? (A)羧化 (B)脫水 (C)還原 (D)轉胺
11.下列何者是具有雙向代謝性的(amphibolic)反應途徑? (A)檸檬酸循環 (B)β-氧化反應 (C)乳酸醱酵 (D)糖質新生作用
12.將液體植物油脂進行下列何種作用,可得長鏈脂肪酸鈉鹽? (A)酯化(esterification) (B)氫化(hydrogenation) (C)氧化(oxidation) (D)皂化(saponification)
13.下列何者是膠原蛋白的主要結構單元? (A)α-螺旋(a-helix) (B)β-摺板(p-sheet) (C)三螺旋(triplehelix) (D)迴圈(loop)
14.在pH = 1.0的條件下,丙胺酸是以下列何種形式存在?
(A)i (B) ii (C) iii (D) iv
15.胰蛋白酶原(trypsinogen)可藉由下列何種方式活化爲胰蛋白酶(trypsin)? (A)斷裂胜肽鍵 (B)接上磷酸根 (C)形成二聚體 (D)接上AMP
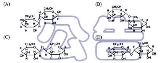
16.下列何種雙醋分子結構中具有α-1,4-糖苷鍵結?
17.人類血液中主要之緩衝溶液系統是由HCO
3
-
/ H
2
CO
3
組成,欲維持血液中pH恆定在7.4, 則下列何者爲 HCO
3
-
/ H
2
CO
3
之比值 ? ( H
2
CO
3
之 pKa=6.4) (A)0.86 (B)1.0 (C) 1.16 (D) 10
18.下列何者不含有脂肪酸成份? (A)三醯基甘油(triacylglycerol) (B)神經醯胺(ceramide) (C)膽固醇(cholesterol) (D)卵憐脂(lecithin )
19. 一般用乙醇來治療甲醇中毒,是利用下列何種形式的抑制作用? (A)競爭性(competitive ) (B)非競爭性(noncompetitive) (C)不競爭性(uncompetitive) (D)不可逆性(irreversible)
20.乳酸 + NAD
+
⇄丙酮酸+ NADH + H
+
催化上述反應之酵素,在分類上是屬於下列何者? (A)氧化還原酶(oxidoreductase) (B)異構酶(isomerase ) (C)裂解酶(lyase) (D)轉移酶(transferase)
21.下列有關Michaelis-Menteii動力學圖形之敘述,何者正確? (A)X軸代表
(B) Y軸截距爲
(C)圖形爲直線型 (D)當X爲K
M
時,Y爲
22. Chargaff從幾種不同微生物DNA分子中發現:A與T、G與C的比値均爲1 ,則下列何者 可解釋此結果? (A)這些微生物血緣關係相近 (B)這些微生物DNA分子序列幾乎相似 (C) DNA分子中四種鹼基等量存在 (D) A與T、G與C利用氫鍵形成互補鹼基配對
23.下列何種核酸分子可作爲攜帶胺基酸的載體,以執行蛋白質合成? (A)DNA (B) rRNA (C) tRNA (D) mRNA
24.缺氧情況下,酵母菌可利用下列何種反應,將NADH氧化成NAD+,以供醣解作用持續 進行? (A)乙醛→乙醇(B)磷酸嫌醇丙酮酸→丙酮酸 (C)丙酮酸→乳酸 (D) 1,3-二碟酸甘油酸→3 -磷酸甘油酸
25.尿素循環所生成的尿素分子,其兩個氮原子一個來自NH
4
+
,另下列何種胺基酸? (A)麩胺酸(glutamate) (B)天門冬胺酸(aspartate) (C)麩醯胺酸(glutamine ) (D)丙胺酸(alanine)
26.磷酸吡哆醛(pyridoxal phosphate)是下列何種作用的輔i酶? (A)甲基化 (B)轉胺(C)脫羧 (D)乙醯化
27.下列何種病患最可能產生大量酮體(ketonebody (A)糖尿病(diabetes) (B)苯酮尿症(phenylketonuria) (C)乳糖不耐症(lactoseintolerance) (D)白化症(albinism)
28下列何種胺基酸側鏈易與水形成氫鍵? (A)脯胺酸(proline)(B)絲胺酸(serine) (C)白胺酸(leucine) (D)苯丙胺酸(phenylalanine)
29.下列何者是細胞內負責將NADH和FADH2氧化再利用的場所及反應途徑? (A)細胞質/醣解作用 (B)細胞質/戊醣碟酸途徑 (C)粒線體/檸檬酸循環 (D)粒線體/電子傳遞
30.下列何種反應可在檸樣酸循環中產生GTP? (A)檸檬酸(citrate)→異檸檬酸(isocitrate) (B)琥拍醯-輔酶A ( succinyl-CoA)→琥拍酸(succinate ) (C)琥拍酸→延胡索酸(fiimarate ) (D)蘋果酸(malate)→草醋酸(oxaloacetate)
31.若有二種單醣互爲差向異構物(epimer),則下列敘述何者正確? (A)—爲醛糖,一爲酮糖 (B)二者只在一個對掌碳之立體組態不同 (C) 一爲吡喃糖,一爲呋喃糖 (D) 二者旋光方向性相反
32.丙酮酸及麩胺酸經由轉胺酶(aminotransferase )之作用,可生成下列何種產物? (A)天門冬胺酸及α-酮戊二酸(B)天門冬胺酸及草醋酸 (C)丙胺酸及草醋酸 (D)丙胺酸及α-酮戊二酸
33.乙醯輔酶A需藉由下列何種化合物,將其自粒線體運送至細胞質,參與脂肪酸生合成反應? (A)丙酮酸(B)蘋果酸 (C)乙醯乙酸(acetoacetate) (D)檸檬酸
34.下列有關醣解作用中,1莫耳葡萄糖反應生成2莫耳甘油醛-3-磷酸的敘述,何者正確? (A)生成2莫耳ATP (B)消耗2莫耳ATP (C)生成2莫耳ATP及2莫耳NADH (D)消耗2莫耳ATP及2莫耳NADH
35.下列何種代謝作用可提供脂肪酸生合成所需要的NADPH ? (A)乙醛酸循環(glyoxylate cycle) (B)醣解作用 (C)戊醣磷酸途徑 (D)檸檬酸循環
36.下列有關利用質子梯度的能量合成ATP之敘述何者正確? (A)形成一個高能中間產物,藉以攜帶能量而合成ATP (B)形成一個高能蛋白構形,藉以驅動ATP合成 (C)經由質子通道穿越粒線體內膜上的ATP合成酶而合成ATP (D)擴散回到粒線體基質,並釋放能量以生成ATP
37.當胺基酸代謝分解形成下列何種化合物時,可稱爲生酮性(ketogenic)胺基酸? (A)琥珀醯輔酶A (B)乙醯乙 醯輔酶 A ( acetoacetyl Co A) (C)α-酮戊二酸 (D)草醋酸
38.醯基載體蛋白質(acyl carrier protein)可參與下列何者之生合成反應? (A)肝醣 (B)脂肪酸 (C)核苷酸 (D)蛋白質
39.下列何者不參與脂肪酸由細胞質進入粒線體的運送渦稈? (A)輔酶 A (B)肉鹼(carnitine) (C) ATP (D) NAD+
40.下列何種蛋白質可最先由膠體過濾層析(gel filtration chromatography)管柱析出? (A)蛋白質A,分子量13 kDa (B)蛋白質B,分子量68 kDa (C)蛋白質C,分子量145 kDa (D)蛋白質D,分子量450 kDa
41.下列何者爲腎上腺素促進肝醣分解、抑制肝醣合成的機制? (A)肝醣磷酸化酶(glycogen phosphorylase)去磷酸化、肝醣合成酶(glycogen synthase) 磷酸化 (B)肝醣磷酸化酶磷酸化、肝醣合成酶去磷酸化 (C)肝醣磷酸化酶酶及肝醣合成酶皆磷酸化 (D)肝醣磷酸化酶及肝醣合成酶皆去磷酸化
42.下列何者不屬於胜肽的生物結構? (A)催產素(oxytocin) (B)前列腺素(prostaglandin) (C)阿斯巴甜(aspartame) (D)魅胱甘肽(glutathione)
43.下列何者與氫鍵的作用力無關? (A)DNA雙股螺旋鹼基配對 (B)蛋白質中α-螺旋結構 (C)脂肪酸與甘油形成三醯甘油 (D) tRNA反密碼子辨識mRNA密碼子
44.棕櫚酸爲十六個碳的飽和fl旨腫,需進行多少次的p-氧化反應,才可完全分解爲乙醯輔酶A? (A)6 (B)7 (C)8(D)9
45.下列何者是根據DNA模板股:-3'ACATTCAG5'-,經由轉錄作用(transcription)所得到 的rna? \ f (A)-5',ACAUUCAG3'- (B)-3'ACAUUCAG5'- (C)-5',UGUAAGUC3'- (D)-3',UGUAAGUC5'-
46.當細胞內果糖-2,6-二磷酸(fructose- 2,6-bisphosphate)的含量降低時,會促進下列何種 酵素的活性? (A)丙酮酸激酶(pyruvatekinase) (B)六碳糖激酶(h^xokinase) (C)磷酸果糖激酶(phosphofructokinase) (D)果糖-1,6- 二磷酸酶(fructose-1,6-bisphosphatase )
47.下列何種參與棒檬酸循環的酵素無法還原NAD+ ? (A)異檸檬酸去氫酶(isocitrate dehydrogenase) (B) α-酮戊二酸去氫酶(α-ketoglutarate dehydrogenase ) (C)琥珀酸去氫酶(succinate dehydrogenase) (D)蘋果酸去氫酶(malate dehydrogenase)
48.加入下列何種試劑不會使蛋白質變性? (A)氯化鈉 (B)十二院基硫酸鈉(sodium dodecyl sulfate , SDS ) (C)丙酮 (D)氯化汞
49.下列何者爲哺乳動物體內尿嘧啶(uradl)的最終代謝產物? (A)尿素 (B)尿酸 (C) β-丙胺酸 (D)丙酮酸
50.下列何者可利用聚合酶連鎖反應(polymerase chain reaction)在生物體外合成? (A)DNA (B) mRNA (C)蛋白質 (D) tRNA
申論題 (0)
相關試卷
99年 - 99 二技統測_食品技術類_專業科目(一):生物化學#19952
99年 · #19952
98年 - 98 二技統測_食品技術類_專業科目(一):生物化學#18910
98年 · #18910
97年 - 97 二技統測_食品技術類_專業科目(一):生物化學#24653
97年 · #24653
95年 - 95 二技統測_食品技術類_專業科目(一):生物化學#24662
95年 · #24662
94年 - 94 二技統測_食品技術類_專業科目(一):生物化學#19291
94年 · #19291
92年 - 92 二技統測_食品技術類_專業科目(一):生物化學#20736
92年 · #20736