所屬科目:工程力學(包括流體力學與材料力學)
一、有一箱形簡支梁 AB 受載重如圖所示,試計算梁內之最大正向應力(normal stress) 及最大剪應力(shear stress) 。(20 分)
二、三根桿件以銷釘(pin)連結成圖示之結構,忽略桿件之重量及各桿件間之摩擦力, 試繪出並求出作用於桿件 BDF 及桿件 ABC 上之力。(20 分)
三、如圖所示,桿 AB 以順時鐘方向 10rad/sec 之角速度旋轉,試求 BC 桿之角速度 和 C 點之速度。(20 分)
四、受力物體某點平面應力狀態如圖所示。材料彈性模數(Elastic modulus)E=150Gpa, 波森比(Poisson ratio)υ=0.33。求此點之主應變?(20 分)
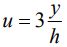
五、已知 xyz 直角坐標中,有二平行板與 xz 平面平行,其中之一平板位置在 y=0,二平行板間的 x 向流速分布為 ,其中 h 為二平行板之間距 0.4mm,試求此流場的 渦度(vorticity)。(20 分)