阿摩線上測驗
登入
首頁
>
技師◆冷凍空調自動控制
> 96年 - 96 專技高考_冷凍空調工程技師:冷凍空調自動控制#38453
96年 - 96 專技高考_冷凍空調工程技師:冷凍空調自動控制#38453
科目:
技師◆冷凍空調自動控制 |
年份:
96年 |
選擇題數:
0 |
申論題數:
9
試卷資訊
所屬科目:
技師◆冷凍空調自動控制
選擇題 (0)
申論題 (9)
⑴求狀態方程式(State Equations)。(6 分)
⑵繪其狀態圖(State Diagram),初值可不考慮。(7 分) θ (s)
【已刪除】 ⑶利用狀態圖求轉移函數
。(7 分)
二、泵浦在空調水系統中使用相當廣泛,為節約能源常以變頻控制方式來驅動運轉,請以 轉速與頻率;轉速與流量、揚程及軸動力之關係,並配合泵浦的 Q-H(流量-揚程) 曲線,詳細說明其節省用電之原理。(20 分)
三、若一閉迴路控制系統之特性方程式為:
s3 + 3Ks
2
+ (K + 2)s + 4 = 0
試利用羅斯-赫維茲準則(Routh-Hurwitz criterion)決定使系統穩定之 K 值範圍。(20 分)
⑴說明負載大小、冷卻水溫(進入冷凝器溫度)及冰水溫度(流出蒸發器溫度)變 動時,離心式冰水主機耗電量變化情形。(6 分)
⑵說明負載大小、冷卻水溫(進入冷凝器溫度)及外氣濕球溫度變動時,水冷式冷 卻水塔耗電量變化情形。(6 分)
⑶以冷卻水系統為例,若只改變冷卻水溫大小,其他參數不變,試繪圖(耗電量- 冷卻水溫變化曲線)說明離心式冰水主機耗電量與冷卻水塔耗電量的交換 (Trade off)現象及如何找出最佳冷卻水溫。(8 分)
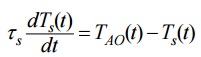
【已刪除】五、如圖一)(所示為一個氣流系統的溫度設定控制,儲水槽供應熱水(水溫Tw (t))流入熱交 換器加熱空氣,溫度感測器感測空氣溫度(T
AO
(t))並與參考溫度(T
r
(t))作比較, 誤差溫度(T
e
(t))送到控制器,其轉移函數為G
c
(s) 控制器輸出為電子訊號u(t) ,由 一轉換器轉成氣壓訊號 p(t),其輸出經由三通閥控制水流率
。若空氣與水之間的熱轉換方程式為:
τ
c
為熱轉換時間常數。溫度感測方程式為:
τ
s
為溫度轉換時間常數。圖(二)為此系統的方塊圖,試求G
1
(s) ,G
2
(s ) 及H(s)。(20 分)
相關試卷
114年 - 114 專技高考_冷凍空調工程技師:冷凍空調自動控制#133704
114年 · #133704
113年 - 113 專技高考_冷凍空調工程技師:冷凍空調自動控制#123924
113年 · #123924
112年 - 112 專技高考_冷凍空調工程技師:冷凍空調自動控制#117674
112年 · #117674
111年 - 111 專技高考_冷凍空調工程技師:冷凍空調自動控制#111910
111年 · #111910
110年 - 110 專技高考_冷凍空調工程技師:冷凍空調自動控制#104221
110年 · #104221
109年 - 109 專技高考_冷凍空調工程技師:冷凍空調自動控制#93133
109年 · #93133
108年 - 108 專技高考_冷凍空調工程技師:冷凍空調自動控制#80858
108年 · #80858
107年 - 107 專技高考_冷凍空調工程技師:冷凍空調自動控制#72907
107年 · #72907
106年 - 106 專技高考_冷凍空調工程技師:冷凍空調自動控制#66559
106年 · #66559
104年 - 104 專技高考_冷凍空調工程技師:冷凍空調自動控制#36193
104年 · #36193