阿摩線上測驗
登入
首頁
>
自動控制學
> 98年 - 098年地方3等自動控制#47825
98年 - 098年地方3等自動控制#47825
科目:
自動控制學 |
年份:
98年 |
選擇題數:
0 |
申論題數:
5
試卷資訊
所屬科目:
自動控制學
選擇題 (0)
申論題 (5)
一、如圖 1 所示為一個具有許多回授迴路與前授路徑之系統。試求出該系統之轉移函數。 (20 分)
二、如圖 2 所示之系統具有參數值為: ζ = 0.4 及 ω
n
= 5 rad / sec 。此系統受到一個單位步 級輸入(unit step input)之作用,試求所產生之上升時間(t
r
),峰值時間(t
p
), 最大超越量(M
p
),及安定時間(t
s
)。(20 分)
三、試畫出圖 3 所示系統之根軌跡。(20 分)
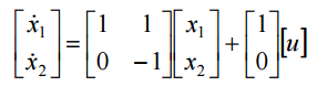
四、試判斷下面系統是否具有可控制性,並請詳述判斷過程。(20 分)
五、考慮如圖 4 之系統,當此系統穩定時, K 為何值?(20 分)
相關試卷
114年 - 114 高等考試_二級_機械工程:自動控制學#131590
114年 · #131590
114年 - 114 關務特種考試_三等_機械工程(選試英文):自動控制#126653
114年 · #126653
113年 - 113-2 國營臺灣鐵路股份有限公司_從業人員甄試_第8階-助理工程師-電機:自動控制#137141
113年 · #137141
113年 - 113 高等考試_二級_機械工程:自動控制學#123065
113年 · #123065
113年 - 113 關務特種考試_三等_機械工程(選試英文):自動控制#119475
113年 · #119475
112年 - 112 地方政府特種考試_三等_機械工程:自動控制#118354
112年 · #118354
112年 - 112 高等考試_二級_機械工程:自動控制學#116760
112年 · #116760
112年 - 112 高等考試_三級_機械工程:自動控制#115741
112年 · #115741
112年 - 112 關務特種考試_三等_機械工程:自動控制#113920
112年 · #113920
111年 - 111 地方政府特種考試_三等_機械工程:自動控制#112361
111年 · #112361