阿摩線上測驗
登入
首頁
>
工程數學(應用數學, 線性代數、微分方程、複變函數與機率)
> 98年 - 98 國家安全情報特種考試_三等_電子組:工程數學#36450
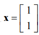
98年 - 98 國家安全情報特種考試_三等_電子組:工程數學#36450
科目:
工程數學(應用數學, 線性代數、微分方程、複變函數與機率) |
年份:
98年 |
選擇題數:
20 |
申論題數:
6
試卷資訊
所屬科目:
工程數學(應用數學, 線性代數、微分方程、複變函數與機率)
選擇題 (20)
1 下列何者為微分方程式 yy′′ = 2( y′) 2的解? (A)ln(c
1
x + c
2
) (B)(c
1
x + c
2
)
−1
(C)e
x+c
(D) [ln( cx + c
2
)]
−1
2 令 c 是從(1,1,1)到(0,1,3)的直線線段,則
等於多少?(A) 1/6 (B)3/2 (C) −1/2 (D) 1
3 下列何者是微分方程式 y′ + y = x / y的解,其中 c 為任意實數? (A) y = x
2
− 0.5 (B) y
2
= ce
−2x
+ x − 0.5 (C) y = ce
−2x
+ x − 0.5 (D) y
2
= x − 0.5 + y
4 下列何者矩陣是列梯型(row echelon form)?
5 下列向量場
中,何者無旋量
,且散度(divergence)最小?
6 設
;若 a+b=c+d且
是 A 的一個特徵向量(eigenvector),則 A 的特徵值(eigenvalues) 為何?
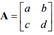
7 令矩陣
則行列式│A│ 等於? (A)12 (B)24 (C)36 (D)48
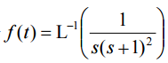
8令
,則f(1)等於多少? (A) 1 (B)1− 2e
−1
9 設u(t) 為單位步階函數,則以下何者為此迴旋積(convolution)u(t − 3)*e
−2t
的結果?
10 f (t) 是週期為2π 的函數,定義 g(t) 為 g(t) = ( f (t) + f (−t))/ 2 ,將 g(t) 的傅立葉級數(Fourier series)表示成
下列敘述何者正確? (A)a
0
= 0 (B)a
0
≠ 0 (C)a
n
= 0, n =1,2,3, (D)b
n
= 0, n =1,2,3,
11 若 f (t)的拉式轉換(Laplace transform)為
則f (0
+
)= ? (A) 1/2 (B) 1 (C) 3/2 (D) 3
12 下列何者為奇函數? (A) f (x) = x
4
(B) f (x) = cos x (C) f (x) = e
x
+ e
−x
(D) f (x) = tan 3x
13 週期為2 π 的週期性函數
,其傅立葉級數表示成
則 下列何者正確? (A) a
0
=π/4 (B) a
n
= 1/n (C)b
n
= 0 (D) a
0
=π/2
14 將
化簡成單一級數表示,則下列何者正確?
+
15 求
之值,其中 C 為連結 (1,1)與(2,3) 之曲線,而 y = x
3
− 3x
2
+ 4x +1: (A)−150 + 30i (B)−156 + 38i (C)−150 + 38i (D)−158 + 30i
16 計算(1 +√3i )
−10
= ? (A)2
−10
(1+ √3 i) (B)2
−10
(1 −√3 i) (C)2
− 11
(− 1 +√3 i) (D)2
−11
( − 1√ −3 i)
17 令u = u(x, y),f 為任意連續二次可微分函數,下列何者滿足偏微分方程式u
xy
= u
yy
? (A)u = f (xy) (B)u = f (x + y) (C)u = f (x − y) (D) u = f (x/y )
18 設 x 為連續隨機變數,其機率密度函數為
試求變異數(variance): (A) 1 (B) 2 (C) 3 (D) 4
19 在某一個車站,公車到站的時間是隨意分布在上午 10 點到 10 點 50 分之間。一個乘客在上午 9 點 55 分抵達 車站,則這個乘客至少還要等 20 分鐘才會有公車到站的機率為何? (A) 0.30 (B) 0.40 (C) 0.60 (D) 0.70
20 假設 x、y 是獨立隨機變數,機率密度函數各為
若 z = xy ,則到期望值E(z)為: (A)8/ 2 (B)8/ 3 (C)8/ 4 (D)8/ 5
申論題 (6)
【已刪除】一、設
求 y(t)。(10 分)
【已刪除】⑴試求該圓盤上某點p(x, y,2)相對於原點之瞬時速度(velocity)
。(利用公式:
其中
為圓盤角速度,
為 p 點之位置向量。)(5 分)
【已刪除】⑵試求向量場
之旋度(curl)。(5 分)
【已刪除】三、求
反矩陣。(10 分)
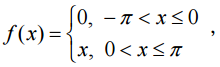
⑴ f (x)定義於[−π , π ]的傅氏級數(Fourier series)。(10 分)
⑵sin(x) + x cos(x)定義於[−π , π ]的傅氏級數(Fourier series)。(10 分)
相關試卷
114年 - 114 專技高考_電機工程技師:工程數學(包括線性代數、微分方程、複變函數與機率)#133679
114年 · #133679
114年 - 114 專技高考_電子工程技師:工程數學(包括線性代數、微分方程、向量分析、複變函數與機率)#133677
114年 · #133677
114年 - 114 調查特種考試_三等_電子科學組:工程數學#129578
114年 · #129578
114年 - 114 國家安全情報特種考試_三等_電子組(選試英文):工程數學#127780
114年 · #127780
113年 - 113 專技高考_電子工程技師:工程數學(包括線性代數、微分方程、向量分析、複變函數與機率)#123976
113年 · #123976
113年 - 113 專技高考_電機工程技師:工程數學(包括線性代數、微分方程、複變函數與機率)#123971
113年 · #123971
113年 - 113 調查特種考試_三等_電子科學組:工程數學#122110
113年 · #122110
113年 - 113 身心障礙特種考試_三等_電力工程:工程數學#119517
113年 · #119517
112年 - 112 地方政府特種考試_三等_電力工程、電子工程:工程數學#118376
112年 · #118376
112年 - 112 專技高考_電機工程技師:工程數學(包括線性代數、微分方程、複變函數與機率)#117639
112年 · #117639