阿摩線上測驗
登入
首頁
>
技師◆結構設計
> 99年 - 099年專門職業及技術人員高等建築師、技師暨普通不動產經紀人、記帳士土木工程技師#35230
99年 - 099年專門職業及技術人員高等建築師、技師暨普通不動產經紀人、記帳士土木工程技師#35230
科目:
技師◆結構設計 |
年份:
99年 |
選擇題數:
0 |
申論題數:
10
試卷資訊
所屬科目:
技師◆結構設計
選擇題 (0)
申論題 (10)
【已刪除】⑴若該處之土壤極限承載力為qu,地面超載為w,取安全係數為 2.5,該基礎之最小面積應為若干?(9 分)
已知:qu = 000,30 kgf/m
2
,w =1 tf/m
2
,
土壤單位重 000,2 kgf/m
3
,
混凝土 fc' = 210 kgf/cm
2
,
鋼筋 f
y
= 800,2 kgf/cm2 ,
D22 鋼筋斷面積: A
b
= 879.3 cm
2
。
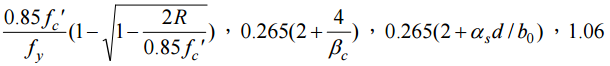
參考公式:
圖中尺寸: a=200cm, b=23cm, c-7cm, B=300cm, x=50cm
⑵請計算圖中基礎之彎矩鋼筋量是否足夠?(8 分)
⑶請計算圖中基礎是否足以抵抗穿孔剪力(或謂雙向剪力)?(8 分)
⑴混凝土可承擔之最大剪力強度Vc 。(5 分)
⑵鋼筋所需要承擔之最大剪力強度V
s
。(5 分)
⑶請檢核斷面是否需要加大。(5 分)
⑷有關剪力鋼筋之配置垂直於構材軸向者,對於非預力混凝土中剪力鋼筋最 大間距之一般規定為何?(5 分)
⑸在何情況下,以上規定之最大間距應予減半?(5 分)
【已刪除】三、一鋼版托架以銲接方式與鋼柱翼版接合,承受偏心之工作載重 16 tf。銲條為E70XX (Fu = 4.9 tf/cm
2
),鋼柱為H型鋼H294×200×8×12。以容許應力設計法,計算填角 銲接所需之銲角尺寸s。(25 分)
四、有一簡支鋼梁跨距為 10 m,跨距中點承受一集中活載重。鋼梁於載重點與支承點處皆有側向支撐。鋼梁為H588×300×12×20 結實斷面,鋼材F
y
= 2.5 tf/cm
2
,殘留應力 為 1.16 tf/cm
2
。試依據極限設計法,忽略鋼梁自重,計算此鋼梁所能承受之最大活 載重。(25 分) H588×300×12×20 型鋼:I
x
= 114,000 cm
4
,I
y
= 9,010 cm
4
,r
x
= 24.7 cm,r
y
= 6.94 cm, S
x
= 3,890 cm
3
,S
y
= 601 cm
3
,Z
x
= 4,350 cm
3
,Z
y
= 921 cm
3
,J = 199 cm
4
, C
w
= 7,260,000 cm
6
,X
1
= 144 tf/cm
2
,X2 = 1.87(cm
2
/tf )
2
。
相關試卷
114年 - 114 專技高考_土木工程技師:結構設計(包括鋼筋混凝土設計與鋼結構設計)#133709
114年 · #133709
114年 - 114 司法特種考試_三等_檢察事務官營繕工程組:結構設計(包括鋼筋混凝土設計與鋼結構設計)#129579
114年 · #129579
113年 - 113 專技高考_土木工程技師:結構設計(包括鋼筋混凝土設計與鋼結構設計)#123949
113年 · #123949
113年 - 113 司法特種考試_三等_檢察事務官營繕工程組:結構設計(包括鋼筋混凝土設計與鋼結構設計)#122119
113年 · #122119
112年 - 112 專技高考_土木工程技師:結構設計(包括鋼筋混凝土設計與鋼結構設計)#117675
112年 · #117675
112年 - 112 司法特種考試_三等_檢察事務官營繕工程組:結構設計(包括鋼筋混凝土設計與鋼結構設計)#116212
112年 · #116212
111年 - 111 專技高考_土木工程技師:結構設計(包括鋼筋混凝土設計與鋼結構設計)#111976
111年 · #111976
111年 - 111 司法特種考試_三等_檢察事務官營繕工程組:結構設計(包括鋼筋混凝土設計與鋼結構設計)#110324
111年 · #110324
110年 - 110 專技高考_土木工程技師:結構設計(包括鋼筋混凝土設計與鋼結構設計)#104169
110年 · #104169
110年 - 110 司法特種考試_三等_檢察事務官營繕工程組:結構設計(包括鋼筋混凝土設計與鋼結構設計)#103219
110年 · #103219