阿摩線上測驗
登入
首頁
>
工程數學(應用數學, 線性代數、微分方程、複變函數與機率)
> 99年 - 99 地方政府特種考試_三等_電力工程:工程數學#36386
99年 - 99 地方政府特種考試_三等_電力工程:工程數學#36386
科目:
工程數學(應用數學, 線性代數、微分方程、複變函數與機率) |
年份:
99年 |
選擇題數:
20 |
申論題數:
6
試卷資訊
所屬科目:
工程數學(應用數學, 線性代數、微分方程、複變函數與機率)
選擇題 (20)
1 下列何者為微分方程
之解?
2 求解微分方程 y′′ − 0.64y ′ =0 ,其解為:
3 已知微分方程式 y′ −xy =1 ,y(0)=1 的解可表為
, 試求常數a
0
、a
1
、a
2
及a
3
之值:
(A)a
0
=1, a
1
=-1, a
2
=1/2, a
3
=-1/4
(B)a
0
=1, a
1
=1, a
2
=1/2, a
3
=1/4
(C)a
0
=1, a
1
=-1, a
2
=1/2, a
3
=-1/3
(D)a
0
=1, a
1
=1, a
2
=1/2, a
3
=1/3
4 微分方程式-ydx+xdy=0 乘上下列那一項,可以使該方程式變成正合(exact)微分方程式? (A)1/x (B) 1/x
2
(C) 1/y (D) 1/xy
2
5 下列何者為函數f(t)=1/10 t sin(5t) 之拉氏(Laplace)轉換?
6 請問z=0 是複變函數f (z)=z sin(z
2
)的幾階零點(zero)? (A) 0 (B) 1 (C) 2 (D) 3
7 下列選項何者為e
z
=-2 的一解,其中i =√ −1: (A)-ln(2)+iπ (B) ln(2)+iπ (C)-ln(2)+i2π (D) ln(2)+i2π
8 假設路徑 C 為一逆時針方向的方形封閉路徑的邊界且其四個頂點分別為 2+2i, -2+2i, -2-2i, 2-2i,試求
之 值為何? (A) 0 (B) 1 (C) πi (D) 2πi
9 求
其中積分曲線為c: x
2
+y
2
=1 (A)-1 (B) 0 (C) 1 (D) 2
10 下列曲線
中,何者與本身的切線方向垂直(亦即
)?
11 級數
之收斂半徑 R 為: (A) 0 (B) 1 (C) 3 (D)∞
12 若有一位置向量(position vector)F=3ti −2j+t
2
k,下列何者為其單位法線向量(unit normal vector)?
13 令矩陣
,矩陣B滿足B
2
=A ,則B的二個特徵值(eigenvalue)之和為何? (A) 0 (B) √3 (C) 1 (D) 3
14 若M是一個方陣(square matrix),且M
6
=M,以下何者不可能是M的特徵值(eigenvalue)?其中i =√− 1。 (A) 0 (B) 1
15 A=[1, 2], B=[1, 2, 3]
T
,則下列運算何者有定義? (A)AB
T
(B)A
T
B (C)B
T
A (D)BA
16 若 A、B 為 2×2 之方陣,且
、BA=2B+2I,I 為 2 ×2 之單位矩陣,則 B=?
17 考慮一 3×3 的矩陣 M,若其行列式值(determinant)為 2,請問矩陣
的行列式值為何? (A) 1 (B) 8 (C) 64 (D) 256
18 十元錢幣 2 枚,其一擲出後人像向上之機率為1/10 ,另一枚則為 1/2 ,若自此 2 枚錢幣隨機挑選一枚然後擲出 2 次,試 求擲出 2 次皆為人像之機率: (A)13/100 (B) 3/10(C)9/100 (D) 3/5
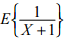
19 隨機變數 X 之機率密度函數(probability density function)為
,則常數 A=?
(A) 1/2 (B) 3/ (C) 2/3 (D) 1/3
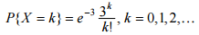
20 考慮一波式(Poission)分布之離散隨機變數(discrete random variable)X,其值為 k 之機率是 ,
,試求
=?
申論題 (6)
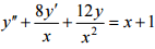
【已刪除】一、試求下列微分方程式之通解。(15 分)
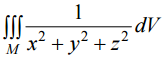
【已刪除】二、令 M 定義為9≤ x
2
+y
2
+z
2
≤ 36,求
。(10 分)
【已刪除】三、設某一函數為y=a
0
+a
1
x
1
+a
2
x
2
,x
1
及x
2
為二自變數,設取樣資料有四組:(10 分)
試求a
0
、a
1
、a
2
之值,使上列取樣資料與y=a
0
+a
1
x
1
+a
2
x
2
有最小的平方誤差?
⑴期望值(expected value)E(X)=?(5 分)
⑵ E(XY)=?(5 分)
⑶協方差(covariance)Cov(X,Y)=?(5 分)
相關試卷
114年 - 114 專技高考_電機工程技師:工程數學(包括線性代數、微分方程、複變函數與機率)#133679
114年 · #133679
114年 - 114 專技高考_電子工程技師:工程數學(包括線性代數、微分方程、向量分析、複變函數與機率)#133677
114年 · #133677
114年 - 114 調查特種考試_三等_電子科學組:工程數學#129578
114年 · #129578
114年 - 114 國家安全情報特種考試_三等_電子組(選試英文):工程數學#127780
114年 · #127780
113年 - 113 專技高考_電子工程技師:工程數學(包括線性代數、微分方程、向量分析、複變函數與機率)#123976
113年 · #123976
113年 - 113 專技高考_電機工程技師:工程數學(包括線性代數、微分方程、複變函數與機率)#123971
113年 · #123971
113年 - 113 調查特種考試_三等_電子科學組:工程數學#122110
113年 · #122110
113年 - 113 身心障礙特種考試_三等_電力工程:工程數學#119517
113年 · #119517
112年 - 112 地方政府特種考試_三等_電力工程、電子工程:工程數學#118376
112年 · #118376
112年 - 112 專技高考_電機工程技師:工程數學(包括線性代數、微分方程、複變函數與機率)#117639
112年 · #117639