阿摩線上測驗
登入
首頁
>
國營事業◆1.電路學 2.電子學
>
110年 - 110 經濟部所屬事業機構_新進職員甄試_電機(一)、電機(二)、儀電:1.電路學 2.電子學#103646
> 試題詳解
試題詳解
試卷:
110年 - 110 經濟部所屬事業機構_新進職員甄試_電機(一)、電機(二)、儀電:1.電路學 2.電子學#103646 |
科目:
國營事業◆1.電路學 2.電子學
試卷資訊
試卷名稱:
110年 - 110 經濟部所屬事業機構_新進職員甄試_電機(一)、電機(二)、儀電:1.電路學 2.電子學#103646
年份:
110年
科目:
國營事業◆1.電路學 2.電子學
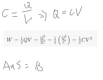
14. 下列何種元件的儲存能量與電壓平方成正比?
(A)電感
(B)電容
(C)電阻
(D)二極體
正確答案:
登入後查看
詳解 (共 1 筆)
牛奶
B1 · 2021/11/10
推薦的詳解#5203023
未解鎖
電感器為一儲能元件 儲能公式: ...
(共 38 字,隱藏中)
前往觀看
10
0
私人筆記 (共 1 筆)
邵恆
2025/01/13
私人筆記#6651657
未解鎖
國營事業◆1.電路學 2.電子學 -...
(共 527 字,隱藏中)
前往觀看
2
0