阿摩線上測驗
登入
首頁
>
國營事業◆1.電路學 2.電子學
>
110年 - 110 經濟部所屬事業機構_新進職員甄試_電機(一)、電機(二)、儀電:1.電路學 2.電子學#103646
> 試題詳解
試題詳解
試卷:
110年 - 110 經濟部所屬事業機構_新進職員甄試_電機(一)、電機(二)、儀電:1.電路學 2.電子學#103646 |
科目:
國營事業◆1.電路學 2.電子學
試卷資訊
試卷名稱:
110年 - 110 經濟部所屬事業機構_新進職員甄試_電機(一)、電機(二)、儀電:1.電路學 2.電子學#103646
年份:
110年
科目:
國營事業◆1.電路學 2.電子學
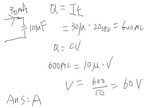
16. 一個 10 微法拉電容器以 30 微安培之定電流源充電,若電容器充電前電壓為零,則充電 20 秒 後電容器上的電壓為多少伏特?
(A) 60
(B) 30
(C) 20
(D) 10
正確答案:
登入後查看
詳解 (共 1 筆)
牛奶
B1 · 2021/11/10
推薦的詳解#5203180
未解鎖
Q=It =30u*20=600uC ...
(共 52 字,隱藏中)
前往觀看
10
0
私人筆記 (共 1 筆)
邵恆
2025/01/14
私人筆記#6654044
未解鎖
國營事業◆1.電路學 2.電子學 ...
(共 305 字,隱藏中)
前往觀看
2
0