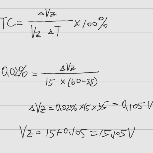
26. 若一齊納二極體 (Zener Diode) 在 25 ℃ 時崩潰電壓為 15 V,溫度係數為 0.02 % / ℃,若溫度
上升至 60 ℃,求崩潰電壓為何?
(A) 15.235 V
(B) 15.2 V
(C) 15.135 V
(D) 15.105 V
答案:登入後查看
統計: A(7), B(2), C(39), D(146), E(0) #2799383
統計: A(7), B(2), C(39), D(146), E(0) #2799383
詳解 (共 4 筆)
#6318654


0
0