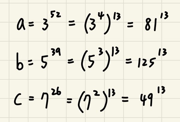
51.若
,則a、b、c之大小關係,以下何者正確?
(A)a > b > c
(B)c > b > a
(C)b > c > a
(D)b > a > c
答案:登入後查看
統計: A(262), B(164), C(267), D(1295), E(0) #2924816
統計: A(262), B(164), C(267), D(1295), E(0) #2924816
詳解 (共 7 筆)
#5788863
平方根找最大公因數~平方根進行質因數分解即是答案
5
0
#7354063

0
0