阿摩線上測驗
登入
首頁
>
農業機電整合與控制工程研究
>
108年 - 高考二級 農業機電整合與控制工程研究#79517
> 申論題
題組內容
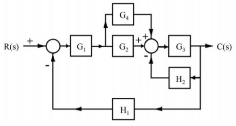
五、若有一農用控制系統如下圖所示:
⑴請繪出其信號流程圖(Signal flow graph)。(5 分)
相關申論題
一、採用油壓驅動之機電系統,其油壓動力源由那些構件組成,且各個構件 之功能為何?(15 分)
#323894
二、氣壓迴路圖及電氣迴路圖如下所示,請詳細說明兩氣壓缸之作動情形。 (15 分)
#323895
三、直流馬達、步進馬達、伺服馬達及油壓馬達四者共通點為何?上述四種 馬達依據其構造、作動原理及用途,有何差異性?(20 分)
#323896
四、請繪圖說明電位計(Potentiometer)、應變計(Strain guage)、壓電轉換 器(Piezoelectric transducer)及線性變化差動變壓器(Linear Variable Differential Transformer),這四種機電轉換器之工作原理。(20 分)
#323897
⑵請找出其轉移函數 T(s)= C(s)/R(s)。(10 分)
#323899
六、已知一農用控制系統的轉移函數為 ,請找出該系統的 頻寬(Bandwidth)。(15 分)
#323900
四、一個控制系統如下圖所示,請求出的範圍,使得所設計的 PI 迴授 控制器可以使整個系統滿足漸近穩定(asymptotically stable)。
#554081
三、一個控制系統如下圖所示:請設計控制器中的 K 的值,使得當參考命令為單位步階命令時的響應,符合上升時間(rising time)小於 0.1 sec,且無超越量(overshoot) 。
#554080
二、請設計一個主動式的低通濾波器電路當中的 R1 , , R, C(如下所示) ,使 其直流增益(DC gain)為 1000 倍,截止頻率(cutoff frequency)為 1 Hz。
#554079
一、假設一永磁直流有刷馬達的電樞(armature)電阻值為 0.5 Ω,當電樞的輸入電壓為 120 V 且轉子已達穩態轉速 1200 rpm 時,電樞的電流為 40 A, 若忽略機械的摩擦力與黏滯阻力,請問此時馬達的輸入功率,電樞的損 失功率與所產生的扭力。
#554078
相關試卷
114年 - 114 高等考試_二級_農業機械:農業機電整合與控制工程研究#131580
114年 · #131580
113年 - 113 高等考試_二級_農業機械:農業機電整合與控制工程研究#123016
113年 · #123016
112年 - 112 高等考試_二級_農業機械:農業機電整合與控制工程研究#116757
112年 · #116757
111年 - 111 高等考試_二級_農業機械:農業機電整合與控制工程研究#111033
111年 · #111033
108年 - 高考二級 農業機電整合與控制工程研究#79517
108年 · #79517
107年 - 107 高考二級 農業機電整合與控制工程研究#72398
107年 · #72398