題組內容
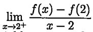
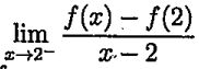
6. Suppose that f(x) is continuous on [0,6] and f(0) = f(4) = 0. The graph of f'(x) is given as below, but values of f'(1), f"(2) and f'(4) are not determined. It is known that


(a) Find
and
by the Mean Value Theorem. Is f(x) differentiable at =2? Justify your answers.